Рассмотрим деревья и графы, а также теорию, которая стоит за ними. Выполним реализацию на языке Python и покажем, как можно использовать эти понятия на примере челленджей Leetcode.
🌳 Деревья и графы: что это такое и почему их обязательно нужно знать каждому программисту
🌳 Деревья и графы: что это такое и почему их обязательно нужно знать каждому программисту
Spot Data Drift and Ensure Machine Learning Model Quality
_5 Ways to Inspect Data & Models with whylogs profile visualizer_
_5 Ways to Inspect Data & Models with whylogs profile visualizer_
Большие данные и всё, что с ними связано, — это не так уж и страшно. Да, на первый взгляд кажется, что это дремучий лес, в котором живут одни лишь датасатанисты. Но стоит погрузиться в тему, и становится понятно — big data везде и во всем
Как мы составили Словарь больших данных для тех, кто не в теме бигдаты
Как мы составили Словарь больших данных для тех, кто не в теме бигдаты
Познакомимся с наследованием, инкапсуляцией, абстракцией и полиморфизмом. А также научимся создавать объекты и использовать синтаксический сахар class.
☕️ Учебник по JavaScript: ООП на простых примерах
☕️ Учебник по JavaScript: ООП на простых примерах
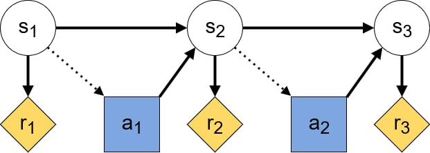
How to use causal influence diagrams to recognize the hidden incentives that shape an AI agent’s behavior
Spotting Unfair or Unsafe AI using Graphical Criteria
Spotting Unfair or Unsafe AI using Graphical Criteria
📖 Аналитика Big Data: что это такое и как сюда попасть
Менеджер поисковых продуктов, расскажет:
- что такое большие данные,
- какие задачи решают аналитики Big Data,
- какими инструментами и навыками должен владеть хороший аналитик,
- рассмотрим кейсы из практики, с которыми встречаются аналитики.
‣‣ YouTube
Machine Learning | Big Data
Менеджер поисковых продуктов, расскажет:
- что такое большие данные,
- какие задачи решают аналитики Big Data,
- какими инструментами и навыками должен владеть хороший аналитик,
- рассмотрим кейсы из практики, с которыми встречаются аналитики.
‣‣ YouTube
Machine Learning | Big Data
This media is not supported in your browser
VIEW IN TELEGRAM
🖥 Проект: Распознавание рукописных математических функций в реальном времени и прогнозирование их графиков с использованием машинного обучения
Machine Learning | Big Data
Machine Learning | Big Data
Imagen: новейшая модель преобразования текста в изображение от Google Brain!
‣‣ Посмотреть на GitHub
Machine Learning | Big Data
‣‣ Посмотреть на GitHub
Machine Learning | Big Data
This media is not supported in your browser
VIEW IN TELEGRAM
📕 5 лучших книг по машинному обучению для начинающих
Чтение книг важно, потому что оно дает бесконечные знания. Если вы планируете стать специалистом по анализу данных или инженером по машинному обучению, чтение книг по машинному обучению поможет вам получить знания и навыки, необходимые в этой области.
‣‣ Подборка
Machine Learning | Big Data
Чтение книг важно, потому что оно дает бесконечные знания. Если вы планируете стать специалистом по анализу данных или инженером по машинному обучению, чтение книг по машинному обучению поможет вам получить знания и навыки, необходимые в этой области.
‣‣ Подборка
Machine Learning | Big Data
🎯 Что такое большие данные? Введение, использование и приложения.
Англоязычная статья которая даст вам ясное понятие о том что же такое большие данные.
‣‣ Статья
Machine Learning | Big Data
Англоязычная статья которая даст вам ясное понятие о том что же такое большие данные.
‣‣ Статья
Machine Learning | Big Data
😶🌫️ Основной жаргон для начинающих практиков машинного обучения
В каждой отрасли есть свой жаргон, и машинное обучение ничем не отличается. Вот краткий контрольный список ключевых терминов, с которыми должны быть знакомы все начинающие разработчики машинного обучения при построении моделей.
Machine Learning | Big Data
В каждой отрасли есть свой жаргон, и машинное обучение ничем не отличается. Вот краткий контрольный список ключевых терминов, с которыми должны быть знакомы все начинающие разработчики машинного обучения при построении моделей.
Machine Learning | Big Data
😯 Toyota использует big data, чтобы избежать ускорения, когда водитель перепутал педали
Toyota Motor Corp разработала новую систему аварийной безопасности. При помощи больших данных она позволяет предотвратить ошибку при нажатии водителем педали акселератора вместо педали тормоза.Подробнее в статье.
‣‣ Посмотреть статью
Machine Learning | Big Data
Toyota Motor Corp разработала новую систему аварийной безопасности. При помощи больших данных она позволяет предотвратить ошибку при нажатии водителем педали акселератора вместо педали тормоза.Подробнее в статье.
‣‣ Посмотреть статью
Machine Learning | Big Data
🤭 Как найти слабые места в ваших моделях машинного обучения
‣‣ Читать статью
Machine Learning | Big Data
‣‣ Читать статью
Machine Learning | Big Data
🐍 285+ проектов машинного обучения с Python
Более 280 проектов машинного обучения, решенных и объясненных с использованием языка программирования Python.
‣‣ Читать
Machine Learning | Big Data
Более 280 проектов машинного обучения, решенных и объясненных с использованием языка программирования Python.
‣‣ Читать
Machine Learning | Big Data
🔝 6 лучших алгоритмов машинного обучения для классификации
Как построить конвейер модели машинного обучения в Python
‣‣ Читать
Machine Learning | Big Data
Как построить конвейер модели машинного обучения в Python
‣‣ Читать
Machine Learning | Big Data
🎛 6 классных библиотек Python для машинного обучения
Python - неотъемлемая часть машинного обучения, а библиотеки упрощают нашу жизнь. Недавно я наткнулся на 6 замечательных библиотек, работая над своими проектами машинного обучения. Они помогли мне сэкономить много времени.
Machine Learning | Big Data
Python - неотъемлемая часть машинного обучения, а библиотеки упрощают нашу жизнь. Недавно я наткнулся на 6 замечательных библиотек, работая над своими проектами машинного обучения. Они помогли мне сэкономить много времени.
Machine Learning | Big Data