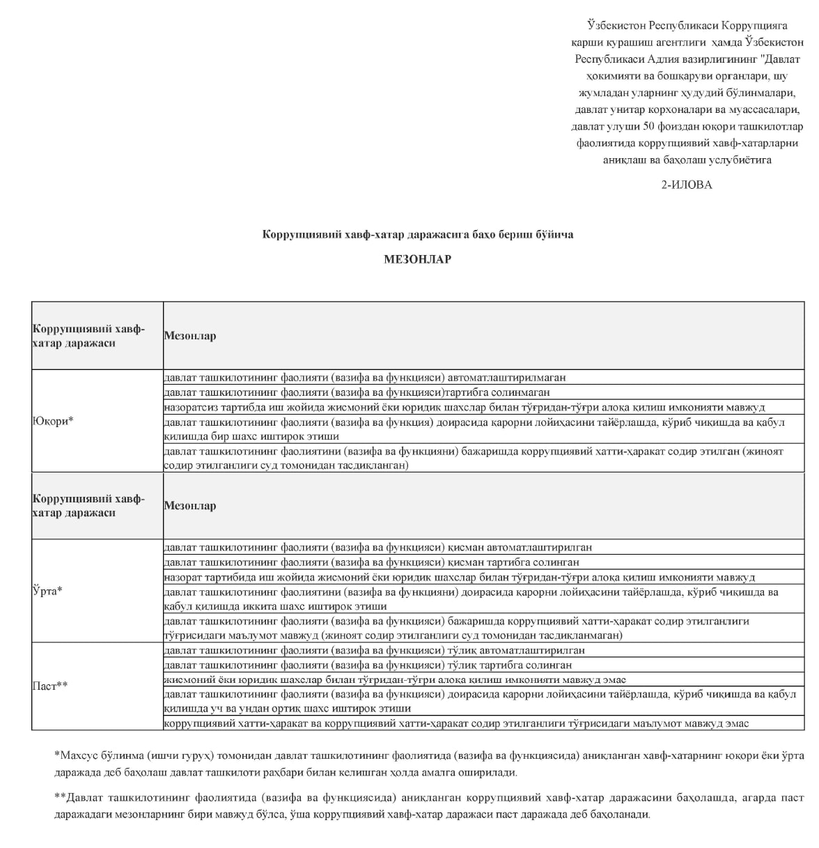
📜✍🏽 Утверждена Методика выявления и оценки коррупционных рисков в деятельности органов госвласти и управления, в том числе их терр. подразделений, ГУП и госучреждений, организаций с госдолей более 50%
Минюст РУз зарегистрировал совместное постановление Агентства по противодействию коррупции (АПК) и Минюста от 31.08.2022г. по утверждению Методики (рег. МЮ №3383).
Когда будет принят Закон РУз «О предупреждении конфликта интересов» и подписан Закон РУз «Об управлении государственным имуществом»?
#коррупция #АПК #конфликтинтересов
Минюст РУз зарегистрировал совместное постановление Агентства по противодействию коррупции (АПК) и Минюста от 31.08.2022г. по утверждению Методики (рег. МЮ №3383).
Когда будет принят Закон РУз «О предупреждении конфликта интересов» и подписан Закон РУз «Об управлении государственным имуществом»?
#коррупция #АПК #конфликтинтересов
Таможня будет направлять в социальные учреждения денежные средства и товары, переведённые в доход государства?! И зачем нужная новая торговая платформа «Социальный продукт»?!
📜✍🏽 Постановлением Президента РУз от 30.08.2022г. №ПП-365 «О дополнительных мерах по развитию деятельности домов-интернатов «Саховат» и «Мурувват», а также Республиканского пансионата для ветеранов войны и труда» определено, что Гостаможенный комитет оказывает на постоянной основе содействие Агентству по развитию медико-социальных услуг (АРМСУ):
➖в укреплении материально-технической базы медико-социальных учреждений (МСУ) и улучшении их инфраструктуры;
➖во внедрении современных методов и социальных технологий, направленных на повышение эффективности оказания медико-социальных услуг пожилым и лицам с инвалидностью, взятым под опеку в МСУ;
➖в создании благоприятных условий для пожилых и лиц с инвалидностью, взятых под опеку в МСУ, обеспечении их протезно-ортопедическими изделиями, техническими и гигиеническими средствами реабилитации;
➖в создании необходимых условий по социальной адаптации и обучению лиц с инвалидностью, взятых под опеку в МСУ, профессии исходя из их интересов;
➖в содержательной организации свободного времени пожилых и лиц с инвалидностью, взятых под опеку в МСУ, а также развитии их интеллектуальных, физических и творческих способностей;
➖в обеспечении активного участия лиц, взятых под опеку в МСУ, в культурной жизни путём организации духовно-просветительских и культурных мероприятий, в том числе концертных программ.
В этой связи, Гостаможенному комитету предоставлено право:
➖направления средств специального фонда ГТК на реализацию, определённых данным ПП мер и возложенных задач;
➖передачи МСУ товарно-материальных ценностей, выявленных таможенными органами и переведённые в доход государства.
При этом в структуре центрального аппарата ГТК образуется отдел по работе с домами-интернатами «Саховат» и «Мурувват».
Также постановлением:
➖одобрено предложение Торгово-промышленной палаты о разработке электронной торговой платформы «Социальный продукт»;
➖дано согласие на приспособление в качестве дома-интерната для женщин 300-местного дома-интерната для детей с инвалидностью «Мурувват» в Шараф-Рашидовском районе Джизакской области, подлежащего полной сдачи в эксплуатации до 01.10.2022г.;
➖утверждена «Дорожная карта» по укреплению материально-технической базы домов-интернатов «Саховат» и «Мурувват», а также Республиканского пансионата для ветеранов войны и труда на 2022–2025 годы [в Lex.uz не приводится ];
➖Кабинету Министров (А. Раматов) поручено в месячный срок утвердить перечень домов-интернатов «Саховат» и «Мурувват», в которых будут проводиться текущие работы по строительству и реконструкции.
Напомним,что АРМСУ образовано на базе Агентства медико-социальных услуг при Минздраве РУз согласно указу Президента РУз от 25.03.2021г. №УП-6195.
#Минздрав #АРМСУ #ГТК
#Саховат #Мурувват #Социальный_продукт
#конфликтинтересов
📜✍🏽 Постановлением Президента РУз от 30.08.2022г. №ПП-365 «О дополнительных мерах по развитию деятельности домов-интернатов «Саховат» и «Мурувват», а также Республиканского пансионата для ветеранов войны и труда» определено, что Гостаможенный комитет оказывает на постоянной основе содействие Агентству по развитию медико-социальных услуг (АРМСУ):
➖в укреплении материально-технической базы медико-социальных учреждений (МСУ) и улучшении их инфраструктуры;
➖во внедрении современных методов и социальных технологий, направленных на повышение эффективности оказания медико-социальных услуг пожилым и лицам с инвалидностью, взятым под опеку в МСУ;
➖в создании благоприятных условий для пожилых и лиц с инвалидностью, взятых под опеку в МСУ, обеспечении их протезно-ортопедическими изделиями, техническими и гигиеническими средствами реабилитации;
➖в создании необходимых условий по социальной адаптации и обучению лиц с инвалидностью, взятых под опеку в МСУ, профессии исходя из их интересов;
➖в содержательной организации свободного времени пожилых и лиц с инвалидностью, взятых под опеку в МСУ, а также развитии их интеллектуальных, физических и творческих способностей;
➖в обеспечении активного участия лиц, взятых под опеку в МСУ, в культурной жизни путём организации духовно-просветительских и культурных мероприятий, в том числе концертных программ.
В этой связи, Гостаможенному комитету предоставлено право:
➖направления средств специального фонда ГТК на реализацию, определённых данным ПП мер и возложенных задач;
➖передачи МСУ товарно-материальных ценностей, выявленных таможенными органами и переведённые в доход государства.
При этом в структуре центрального аппарата ГТК образуется отдел по работе с домами-интернатами «Саховат» и «Мурувват».
Также постановлением:
➖одобрено предложение Торгово-промышленной палаты о разработке электронной торговой платформы «Социальный продукт»;
➖дано согласие на приспособление в качестве дома-интерната для женщин 300-местного дома-интерната для детей с инвалидностью «Мурувват» в Шараф-Рашидовском районе Джизакской области, подлежащего полной сдачи в эксплуатации до 01.10.2022г.;
➖утверждена «Дорожная карта» по укреплению материально-технической базы домов-интернатов «Саховат» и «Мурувват», а также Республиканского пансионата для ветеранов войны и труда на 2022–2025 годы [
➖Кабинету Министров (А. Раматов) поручено в месячный срок утвердить перечень домов-интернатов «Саховат» и «Мурувват», в которых будут проводиться текущие работы по строительству и реконструкции.
Напомним,что АРМСУ образовано на базе Агентства медико-социальных услуг при Минздраве РУз согласно указу Президента РУз от 25.03.2021г. №УП-6195.
#Минздрав #АРМСУ #ГТК
#Саховат #Мурувват #Социальный_продукт
#конфликтинтересов
В целях уменьшения неформальной занятости ...
📜✍🏽✍🏽 Согласно постановлению Президента РУз от 30.08.2022г. «О мерах по сокращению доли неформальной занятости и формированию баланса трудовых ресурсов на основе современных подходов»:
а) начиная с 01.11.2022г. 10 видов деятельности, указанные в прил. № 1 к данному ПП, включаются в перечень видов деятельности (работ, услуг), которыми могут заниматься самозанятые лица;
б) начиная с 01.01.2023г. минимальная сумма социального налога для физ. лиц, состоящих в трудовых отношениях с индивидуальными предпринимателями (далее - ИП), уменьшается с 50% размера БРВ в месяц до одного размера БРВ в год (за исключением физ. лиц, состоящих в трудовых отношениях с ИП, осуществляющими деятельность в торговых комплексах и на рынках);
в) начиная с 01.01.2023г. граждане, занимающиеся на личных приусадебных земельных участках видами деятельности, указанными в прил. № 2 к данному ПП, и раз в год оплачивающие социальный налог в размере не менее 1- БРВ, включаются в категорию официально занятого населения и данный период засчитывается в их трудовой стаж. При этом:
➖гражданам, занимающимся видами деятельности, указанными в прил. № 2 к данному ПП, разрешается осуществлять оплату социального налога в добровольном порядке независимо от площади принадлежащего им приусадебного земельного участка или количества выращиваемых ими домашних животных и птиц;
➖ведение учёта граждан, занимающихся видами деятельности, указанными в прил. № 2 к данному ПП, осуществляется соответствующими помощниками хокимов районов (городов);
г) начиная с 01.11.2022г. субъектам предпринимательства, обеспечившим занятость владельцев приусадебных земельных участков посредством кооперации и надомного труда, за счёт Госфонда содействия занятости (#ГФСЗ) выделяются #субсидии на приобретение и последующую передачу владельцам приусадебных земель (из расчёта до 20 БРВ на одного владельца приусадебного земельного участка):
➖птицы (кур, перепелок, уток, гусей, индюков), клеток для содержания птицы, кормов и лекарственных средств;
➖саженцев винограда и виноградной лозы;
➖пчелиных семей, ящиков для пчелиных семей и кормов;
➖кроликов, клеток для кроликов и кормов;
➖мальков рыб, искусственных водоемов и кормов.
Постановлением дано разрешение с 01.01.2023г.:
➖индивидуальным предпринимателям выполнять несложные общестроительные и ремонтно-строительные работы, в том числе и для юр. лиц;
➖строительно-подрядным организациям привлекать на договорной основе ИП для выполнения общестроительных и ремонтно-строительных работ.
При этом определено, что ИП, занимающимся выполнением общестроительных и ремонтно-строительных работ и нанявшим не менее трёх работников, за счёт средств ГФСЗ выделяется субсидия на приобретение орудий труда и оборудования. При этом размер субсидии на одного работника не должен превышать 15-БРВ.
Постановлением утверждены:
➖«Дорожная карта» по сокращению доли неформальной занятости в 2022–2024 годах;
➖Целевые показатели сокращения доли неформальной занятости в 2023–2026 годах;
➖Прогнозные показатели услуг, оказываемых органами по труду трудовым мигрантам, вернувшимся из-за рубежа, в рамках проекта «Ўз келажагимга ўзим инвестор» в 2023–2024 годах.
#Минтруд #Налоги #Минстрой
📜✍🏽✍🏽 Согласно постановлению Президента РУз от 30.08.2022г. «О мерах по сокращению доли неформальной занятости и формированию баланса трудовых ресурсов на основе современных подходов»:
а) начиная с 01.11.2022г. 10 видов деятельности, указанные в прил. № 1 к данному ПП, включаются в перечень видов деятельности (работ, услуг), которыми могут заниматься самозанятые лица;
б) начиная с 01.01.2023г. минимальная сумма социального налога для физ. лиц, состоящих в трудовых отношениях с индивидуальными предпринимателями (далее - ИП), уменьшается с 50% размера БРВ в месяц до одного размера БРВ в год (за исключением физ. лиц, состоящих в трудовых отношениях с ИП, осуществляющими деятельность в торговых комплексах и на рынках);
в) начиная с 01.01.2023г. граждане, занимающиеся на личных приусадебных земельных участках видами деятельности, указанными в прил. № 2 к данному ПП, и раз в год оплачивающие социальный налог в размере не менее 1- БРВ, включаются в категорию официально занятого населения и данный период засчитывается в их трудовой стаж. При этом:
➖гражданам, занимающимся видами деятельности, указанными в прил. № 2 к данному ПП, разрешается осуществлять оплату социального налога в добровольном порядке независимо от площади принадлежащего им приусадебного земельного участка или количества выращиваемых ими домашних животных и птиц;
➖ведение учёта граждан, занимающихся видами деятельности, указанными в прил. № 2 к данному ПП, осуществляется соответствующими помощниками хокимов районов (городов);
г) начиная с 01.11.2022г. субъектам предпринимательства, обеспечившим занятость владельцев приусадебных земельных участков посредством кооперации и надомного труда, за счёт Госфонда содействия занятости (#ГФСЗ) выделяются #субсидии на приобретение и последующую передачу владельцам приусадебных земель (из расчёта до 20 БРВ на одного владельца приусадебного земельного участка):
➖птицы (кур, перепелок, уток, гусей, индюков), клеток для содержания птицы, кормов и лекарственных средств;
➖саженцев винограда и виноградной лозы;
➖пчелиных семей, ящиков для пчелиных семей и кормов;
➖кроликов, клеток для кроликов и кормов;
➖мальков рыб, искусственных водоемов и кормов.
Постановлением дано разрешение с 01.01.2023г.:
➖индивидуальным предпринимателям выполнять несложные общестроительные и ремонтно-строительные работы, в том числе и для юр. лиц;
➖строительно-подрядным организациям привлекать на договорной основе ИП для выполнения общестроительных и ремонтно-строительных работ.
При этом определено, что ИП, занимающимся выполнением общестроительных и ремонтно-строительных работ и нанявшим не менее трёх работников, за счёт средств ГФСЗ выделяется субсидия на приобретение орудий труда и оборудования. При этом размер субсидии на одного работника не должен превышать 15-БРВ.
Постановлением утверждены:
➖«Дорожная карта» по сокращению доли неформальной занятости в 2022–2024 годах;
➖Целевые показатели сокращения доли неформальной занятости в 2023–2026 годах;
➖Прогнозные показатели услуг, оказываемых органами по труду трудовым мигрантам, вернувшимся из-за рубежа, в рамках проекта «Ўз келажагимга ўзим инвестор» в 2023–2024 годах.
#Минтруд #Налоги #Минстрой
🇷🇺🇺🇿 3 сентября Вице-премьер – министр инвестиций и внешней торговли Узбекистана Жамшид Ходжаев в Москве, РФ встретился с руководством АО «ОХК «Уралхим», на которой обсуждены текущее состояние и перспективы реализации совместных проектов в сфере химической промышленности [#].
Также 3 сентября в посольстве Узбекистана в России состоялась встреча правительственной делегации Узбекистана с представителями нескольких крупных российских компаний, в сфере строительства, текстильной промышленности, сельского хозяйства, торговли, «зелёной» экономики и недвижимости.
#Узкимёсаноат #Уралхим #Россия
Также 3 сентября в посольстве Узбекистана в России состоялась встреча правительственной делегации Узбекистана с представителями нескольких крупных российских компаний, в сфере строительства, текстильной промышленности, сельского хозяйства, торговли, «зелёной» экономики и недвижимости.
#Узкимёсаноат #Уралхим #Россия
Media is too big
VIEW IN TELEGRAM
🎞 Фрагмент из украинско-российского телесериала «Жизнь и приключения Мишки Япончика»
Фильм основан на реальных событиях.
Вышел на экраны в декабре 2011 года.
Фильм основан на реальных событиях.
Вышел на экраны в декабре 2011 года.
Media is too big
VIEW IN TELEGRAM
Продолжение ...
🎞 Музыкальный отрывок из украинско-российского фильма «Жизнь и приключения Мишки Япончика»
🎞 Музыкальный отрывок из украинско-российского фильма «Жизнь и приключения Мишки Япончика»
АО «Узметкомбинат» сообщает о создании Европейского торгового дома в Литве (в форме ЗАО).
Узметкомбинат имеет также торговые дома в Таджикистане и Казахстане.
#Узметкомбинат UZMK UZM1 UZMB2
#Литва
Узметкомбинат имеет также торговые дома в Таджикистане и Казахстане.
#Узметкомбинат UZMK UZM1 UZMB2
#Литва
В состав наблюдательного совета АКБ «Hamkorbank» вместо бельгийца Вернера Клаеса (Werner Claes) включён Вусал Вердиев (Vusal Verdiev), бывший глава грузинского банка «Finca» (2009), позже его дочерней американской компании «FINCA Impact Finance» (2009-2021).
Соответствующее решение принято на ОСА от 30.08.2022г. (кворум - 91,12%). Вусал Вердиев приступит к своим полномочиям после согласования его кандидатуры с ЦБ РУз .
На данном ОСА также принято решение перевести часть текущей прибыли за I полугодие т.г. в размере 315.0 млрд. сумов в резервный фонд Банка общего назначения.
Примечательно, что Банк объявлял о переносе (отмене) внеочередного ОСА, ранее запланированного на 30.08.2022г. Хотели ввести в заблуждение или что это?
#Хамкорбанк HMKB
Соответствующее решение принято на ОСА от 30.08.2022г. (кворум - 91,12%). Вусал Вердиев приступит к своим полномочиям после согласования его кандидатуры с ЦБ РУз .
На данном ОСА также принято решение перевести часть текущей прибыли за I полугодие т.г. в размере 315.0 млрд. сумов в резервный фонд Банка общего назначения.
Примечательно, что Банк объявлял о переносе (отмене) внеочередного ОСА, ранее запланированного на 30.08.2022г. Хотели ввести в заблуждение или что это?
#Хамкорбанк HMKB
Распределение прибыли Кизилкумцемент будет рассмотрено 26 сентября
На 26 сентября назначено внеочередное общее собрание акционеров АО «Qizilqumsement» для рассмотрения следующих вопросов:
➖избрание генерального директора АО;
➖избрание членов наблюдательного совета АО;
➖избрание членов ревизионной комиссии АО;
➖распределение чистой прибыли АО по итогам 2020 и 2021 годов;
➖утверждение новой редакции устава АО.
🔍 См сущфакты, годовые и квартальные отчёты АО
#Кизилкумцемент
#UnitedCementGroup #UCG
На 26 сентября назначено внеочередное общее собрание акционеров АО «Qizilqumsement» для рассмотрения следующих вопросов:
➖избрание генерального директора АО;
➖избрание членов наблюдательного совета АО;
➖избрание членов ревизионной комиссии АО;
➖распределение чистой прибыли АО по итогам 2020 и 2021 годов;
➖утверждение новой редакции устава АО.
🔍 См сущфакты, годовые и квартальные отчёты АО
#Кизилкумцемент
#UnitedCementGroup #UCG
👤💼 На три года продлены трудовой контракт и полномочия Эшмуратова Баходира Бешимовича в должности председателя правления АО «Худудгазтаъминот».
Соответствующее решение принято 31 августа т.г. акционером госкомпании.
#Худудгазтаъминот
Соответствующее решение принято 31 августа т.г. акционером госкомпании.
#Худудгазтаъминот
openinfo.uz
"HUDUDGAZTA'MINOT" AKSIYADORLIK JAMIYATI
Решения, принятые высшим органом управления эмитента
Заявление МИД РУз по случаю теракта у российского посольства в Афганистане:
«Решительно осуждаем террористический акт, совершённый 5 сентября 2022 года в непосредственной близости от консульского отдела Российской Федерации в Кабуле, в результате которого погибли сотрудники дипмиссии и граждане Афганистана.
Призываем предпринять все необходимые меры по выявлению организаторов и исполнителей этой бесчеловечной акции.
Искренне соболезнуем семьям и близким погибших, а также желаем скорейшего выздоровления пострадавшим.»
По сообщению МИД РФ, 5 сентября в 10:50 по кабульскому времени в непосредственной близости от входа в консульский отдел Посольства России в Кабуле неизвестный боевик привёл в действие взрывное устройство. В результате атаки погибли два сотрудника дипмиссии.
#Афганистан #Россия
«Решительно осуждаем террористический акт, совершённый 5 сентября 2022 года в непосредственной близости от консульского отдела Российской Федерации в Кабуле, в результате которого погибли сотрудники дипмиссии и граждане Афганистана.
Призываем предпринять все необходимые меры по выявлению организаторов и исполнителей этой бесчеловечной акции.
Искренне соболезнуем семьям и близким погибших, а также желаем скорейшего выздоровления пострадавшим.»
По сообщению МИД РФ, 5 сентября в 10:50 по кабульскому времени в непосредственной близости от входа в консульский отдел Посольства России в Кабуле неизвестный боевик привёл в действие взрывное устройство. В результате атаки погибли два сотрудника дипмиссии.
#Афганистан #Россия
Президент Узбекистана поручил Кабинету Министров и МинНО принять безотлагательные меры по организации бесплатной аренды школьных учебников и рабочих тетрадей
📜✍🏽 Постановлением Кабинета Министров РУз от 31.08.2022г. №484 утверждено Положение о порядке возврата части расходов по внутренним поездкам, совершённым по республике, согласно которому возмещение расходов производится каждому туристу в следующих размерах:
➖15% от стоимости авиабилета в обе стороны, но не более 150 000 сумов;
➖15% от стоимости билета в оба конца на ж/д или автобусном транспорте, но не более 80 000 сумов;
➖15% от стоимости суток проживания, но не более 80 000 сумов;
➖50% от стоимости каждого билета на посещение организаций культуры, но не более 20 тысяч сумов.
#Саёхат_учун_кэшбек
➖15% от стоимости авиабилета в обе стороны, но не более 150 000 сумов;
➖15% от стоимости билета в оба конца на ж/д или автобусном транспорте, но не более 80 000 сумов;
➖15% от стоимости суток проживания, но не более 80 000 сумов;
➖50% от стоимости каждого билета на посещение организаций культуры, но не более 20 тысяч сумов.
#Саёхат_учун_кэшбек
На фоне значительного роста экспорта сельхозпродукции в Россию, обсуждены меры по обеспечению стабильности цен на основные продукты питания и созданию их резерва в республике
На сегодняшнем совещании, посвящённом мерам по обеспечению стабильности цен на основные продукты питания и созданию их резерва, отмечено, что:
➖годовая потребность в картофеле в Узбекистане составляет 3,40 млн тонн, 20-25 процентов его покрывается за счёт импорта;
➖годовая потребность в растительном масле составляет 515 тысяч тонн, 46% этого объёма импортируется;
➖в целом обеспечение продовольственных товаров 25 видов на внутреннем рынке остаётся зависимым от импорта;
➖имеющаяся мощность складов по республике на сегодняшний день составляет 1,5 млн тонн, или менее 7% от общего объёма выращиваемой в стране продукции.
В этой связи, как сообщает пресс-служба главы государства:
➖принято решение, что в 2023 году дополнительно 100 тысяч гектаров посевных земель будут распределены населению на конкурсной основе;
➖перед Министерством сельского хозяйства поставлена задача подготовить совместно с хокимиятами проекты по налаживанию отечественного производства 25 видов импортируемой продукции;
➖хокимам областей поручено резко увеличить складские мощности в 50 районах, специализирующихся на сельском хозяйстве;
➖принято решение, что с 15 сентября по рекомендации помощников хокимов будут предоставляться беззалоговые кредиты в размере до 150 млн сумов на семена, удобрения, ГСМ, средства защиты растений и оборотный капитал для выращивания овощных, зернобобовых и масличных культур. На эти цели Агентству садоводства будет выделено дополнительно 300 млрд сумов;
➖установлено, что теперь кластерам и дехканам, выращивающим картофель, овощи и масличные культуры, 50% стоимости страхования урожая будет покрывать государство;
➖страховой полис будет выступать обеспечением по кредиту для выращивания продовольственной продукции, как в случае с хлопком и зерном;
➖дано указание создать в каждом районе минимум один интенсивный овощеводческий питомник, перевести все плодородные земли в интенсивную обработку;
➖предложено внедрить льготное кредитования приобретения грузовых автомобилей, сортировочного и упаковочного оборудования. На эти цели коммерческим банкам выделено $140 млн, имеется возможность выделить ещё $330млн;
➖поручено трансформировать деятельность АО «O'zagrolizing» в систему, которая будет служить финансовым помощником дехкан и фермеров;
➖указано на необходимость продления сроков аренды земли под передвижные морозильные камеры, содействия населению в защите растений.
Примечательно, что 2 сентября т.г. на встрече заместителя Вице-премьера – министра инвестиций и внешней торговли РУз Жамшида Ходжаева в г. Москве с заместителем председателя Правительства РФ Викторией Абрамченко было отмечено, что за семь месяцев 2022 года экспорт сельскохозяйственной продукции из Узбекистана в Россию вырос на 52% по сравнению с аналогичным периодом прошлого года, и составил $222,5 млн.
#продовольственнаябезопасность #совещание #кредиты #Узагролизинг
На сегодняшнем совещании, посвящённом мерам по обеспечению стабильности цен на основные продукты питания и созданию их резерва, отмечено, что:
➖годовая потребность в картофеле в Узбекистане составляет 3,40 млн тонн, 20-25 процентов его покрывается за счёт импорта;
➖годовая потребность в растительном масле составляет 515 тысяч тонн, 46% этого объёма импортируется;
➖в целом обеспечение продовольственных товаров 25 видов на внутреннем рынке остаётся зависимым от импорта;
➖имеющаяся мощность складов по республике на сегодняшний день составляет 1,5 млн тонн, или менее 7% от общего объёма выращиваемой в стране продукции.
В этой связи, как сообщает пресс-служба главы государства:
➖принято решение, что в 2023 году дополнительно 100 тысяч гектаров посевных земель будут распределены населению на конкурсной основе;
➖перед Министерством сельского хозяйства поставлена задача подготовить совместно с хокимиятами проекты по налаживанию отечественного производства 25 видов импортируемой продукции;
➖хокимам областей поручено резко увеличить складские мощности в 50 районах, специализирующихся на сельском хозяйстве;
➖принято решение, что с 15 сентября по рекомендации помощников хокимов будут предоставляться беззалоговые кредиты в размере до 150 млн сумов на семена, удобрения, ГСМ, средства защиты растений и оборотный капитал для выращивания овощных, зернобобовых и масличных культур. На эти цели Агентству садоводства будет выделено дополнительно 300 млрд сумов;
➖установлено, что теперь кластерам и дехканам, выращивающим картофель, овощи и масличные культуры, 50% стоимости страхования урожая будет покрывать государство;
➖страховой полис будет выступать обеспечением по кредиту для выращивания продовольственной продукции, как в случае с хлопком и зерном;
➖дано указание создать в каждом районе минимум один интенсивный овощеводческий питомник, перевести все плодородные земли в интенсивную обработку;
➖предложено внедрить льготное кредитования приобретения грузовых автомобилей, сортировочного и упаковочного оборудования. На эти цели коммерческим банкам выделено $140 млн, имеется возможность выделить ещё $330млн;
➖поручено трансформировать деятельность АО «O'zagrolizing» в систему, которая будет служить финансовым помощником дехкан и фермеров;
➖указано на необходимость продления сроков аренды земли под передвижные морозильные камеры, содействия населению в защите растений.
Примечательно, что 2 сентября т.г. на встрече заместителя Вице-премьера – министра инвестиций и внешней торговли РУз Жамшида Ходжаева в г. Москве с заместителем председателя Правительства РФ Викторией Абрамченко было отмечено, что за семь месяцев 2022 года экспорт сельскохозяйственной продукции из Узбекистана в Россию вырос на 52% по сравнению с аналогичным периодом прошлого года, и составил $222,5 млн.
#продовольственнаябезопасность #совещание #кредиты #Узагролизинг
По какой цене Бекабадцемент должен выкупать акции у акционеров, не принимавших участие в одобрении залога по кредиту для UCG?
На внеочередном общем собрании акционеров АО «Бекабадцемент» от 27.08.2022г. (кворум - 80,32%) одобрено заключение договора залога по которому АО выступает залогодателем перед Национальным банком ВЭД РУз путём предоставления ликвидного обеспечения на сумму не менее 125% от суммы кредита, с учётом соответствующего дисконта Узнацбанка, в виде производственного комплекса по кредитному договору между ООО «United Cement Group» и Узнацбанком на $50 млн.
Данная сделка является крупной для АО «Бекабадцемент» и согласно статье 40 Закона РУз «Об акционерных обществах и защите прав акционеров» акционеры — владельцы голосующих акций вправе требовать выкупа обществом всех или части принадлежащих им акций, если они голосовали против или не принимали участие в голосовании по уважительным причинам при принятии общим собранием акционеров решения о совершении крупной сделки. Выкуп акций обществом должен быть по рыночной стоимости этих акций, определяемой без учёта её изменения в результате действия общества, повлекшего возникновение права требования выкупа акций.
В объявлении АО от 08.08.2022г. о проведении данного ОСА указано, что выкуп акций у акционеров будет осуществляться по 120 сум за одну акцию при номинальной стоимости 100 сум/шт. Вместе с тем, последняя биржевая сделка с акциями АО [BECM], допущенных к обращению на фондовой бирже 05.08.2022г., прошла 29 августа по 25 тыс сум/шт.
Напомним, что 24.08.2022г. была зарегистрирована внебиржевая сделка с акциями АО на 680,51 млрд сумов (детали сделки не раскрыты, #).
#Бекабадцемент #НБУ #Узнацбанк
#UnitedCementGroup #UCG #цемент
На внеочередном общем собрании акционеров АО «Бекабадцемент» от 27.08.2022г. (кворум - 80,32%) одобрено заключение договора залога по которому АО выступает залогодателем перед Национальным банком ВЭД РУз путём предоставления ликвидного обеспечения на сумму не менее 125% от суммы кредита, с учётом соответствующего дисконта Узнацбанка, в виде производственного комплекса по кредитному договору между ООО «United Cement Group» и Узнацбанком на $50 млн.
Данная сделка является крупной для АО «Бекабадцемент» и согласно статье 40 Закона РУз «Об акционерных обществах и защите прав акционеров» акционеры — владельцы голосующих акций вправе требовать выкупа обществом всех или части принадлежащих им акций, если они голосовали против или не принимали участие в голосовании по уважительным причинам при принятии общим собранием акционеров решения о совершении крупной сделки. Выкуп акций обществом должен быть по рыночной стоимости этих акций, определяемой без учёта её изменения в результате действия общества, повлекшего возникновение права требования выкупа акций.
В объявлении АО от 08.08.2022г. о проведении данного ОСА указано, что выкуп акций у акционеров будет осуществляться по 120 сум за одну акцию при номинальной стоимости 100 сум/шт. Вместе с тем, последняя биржевая сделка с акциями АО [BECM], допущенных к обращению на фондовой бирже 05.08.2022г., прошла 29 августа по 25 тыс сум/шт.
Напомним, что 24.08.2022г. была зарегистрирована внебиржевая сделка с акциями АО на 680,51 млрд сумов (детали сделки не раскрыты, #).
#Бекабадцемент #НБУ #Узнацбанк
#UnitedCementGroup #UCG #цемент
📶 КорпИнфо 📰
По какой цене Бекабадцемент должен выкупать акции у акционеров, не принимавших участие в одобрении залога по кредиту для UCG? На внеочередном общем собрании акционеров АО «Бекабадцемент» от 27.08.2022г. (кворум - 80,32%) одобрено заключение договора залога…
Необходимо ли провести проверку действий, связанных с установлением цены выкупа акций Бекабадцемент (по 120 сум/шт)?
Anonymous Poll
77%
Да
14%
Нет
10%
Затрудняюсь ответить
📜✍🏽 Указом Президента РУз от 31.08.2022 г. №УП-213 «О дополнительных мерах по повышению благосостояния населения Республики Каракалпакстан путём ускоренного развития предпринимательства, инновационных технологий и инфраструктур» поручено:
а) в период с 1 января 2023 года до 1 января 2028 года для субъектов предпринимательства, расположенных во всех районах Каракалпакстана и осуществляющих деятельность в данном регионе:
➖снизить на 50% налоговые ставки по налогу на прибыль, налогу с оборота, налогу на имущество и земельному налогу с юр. лиц;
➖снизить социальный налог и установить налоговую ставку в размере 1%;
➖социальный налог, уплачиваемый индивидуальными предпринимателями, уменьшить в 12 раз для лиц, осуществляющих деятельность на территории городов, в 6 раз – для лиц, осуществляющих деятельность на территории районов, и установить в однократном размере БРВ в год.
При этом вышеуказанные льготы не распространяются на крупных налогоплательщиков, постоянные учреждения, бюджетные организации и госредприятия, юридических лиц с госдолей в уставном капитале в размере 50% и более;
б) в период с 1 октября 2022 года до 1 января 2028 года:
➖70% транспортных расходов при экспорте продукции, произведённой в Каракалпакстане, в зарубежные государства, в том числе при перевозке по республике закупленного сырья для производства экспортируемой продукции, покрыть Агентством продвижения экспорта (#АПЭ) на основании перечня, установленного Правительственной комиссией по вопросам внешней торговли, инвестиций, развития местной промышленности и технического регулирования (далее – Правительственная комиссия);
➖предоставить поручительство до 75% (включительно) суммы выделяемого кредита, общая сумма которых не превышает 2,5 млрд сумов, – за счёт Госфонда поддержки предпринимательской деятельности (#ГФППД);
в) предоставить заёмные средства молодым предпринимателям в Каракалпакстане в целях приобретения оборудования, необходимого для производства и оказания услуг, на основании решения Правительственной комиссии через Фонд поддержки молодых предпринимателей при МинИВТ (#ФПМП) сроком на 7 лет.
При этом данные выделенные кредитные средства на основании предложений СовМина Каракалпакстана распределяются Правительственной комиссией (Ходжаев Ж.);
г) координаторам Программы развития семейного предпринимательства (Убайдуллаев М., Камалов А., Султанов Д.) до конца 2022 года обеспечить выделение дополнительно 200 млрд сумов кредитов за счёт ресурсов, выделенных на программу, для финансирования проектов в рамках программ развития семейного предпринимательства в Каракалпакстане.
Определено, что в случае, если законодательством предусмотрены налоговые льготы по размеру вышеперечисленных, в отношении субъектов предпринимательства применяются наиболее благоприятные налоговые льготы. При этом принято к сведению наличие расширенного перечня налоговых льгот для субъектов предпринимательства Муйнакского района.
#Каракалпакстан #льготы #кредиты #налоги
а) в период с 1 января 2023 года до 1 января 2028 года для субъектов предпринимательства, расположенных во всех районах Каракалпакстана и осуществляющих деятельность в данном регионе:
➖снизить на 50% налоговые ставки по налогу на прибыль, налогу с оборота, налогу на имущество и земельному налогу с юр. лиц;
➖снизить социальный налог и установить налоговую ставку в размере 1%;
➖социальный налог, уплачиваемый индивидуальными предпринимателями, уменьшить в 12 раз для лиц, осуществляющих деятельность на территории городов, в 6 раз – для лиц, осуществляющих деятельность на территории районов, и установить в однократном размере БРВ в год.
При этом вышеуказанные льготы не распространяются на крупных налогоплательщиков, постоянные учреждения, бюджетные организации и госредприятия, юридических лиц с госдолей в уставном капитале в размере 50% и более;
б) в период с 1 октября 2022 года до 1 января 2028 года:
➖70% транспортных расходов при экспорте продукции, произведённой в Каракалпакстане, в зарубежные государства, в том числе при перевозке по республике закупленного сырья для производства экспортируемой продукции, покрыть Агентством продвижения экспорта (#АПЭ) на основании перечня, установленного Правительственной комиссией по вопросам внешней торговли, инвестиций, развития местной промышленности и технического регулирования (далее – Правительственная комиссия);
➖предоставить поручительство до 75% (включительно) суммы выделяемого кредита, общая сумма которых не превышает 2,5 млрд сумов, – за счёт Госфонда поддержки предпринимательской деятельности (#ГФППД);
в) предоставить заёмные средства молодым предпринимателям в Каракалпакстане в целях приобретения оборудования, необходимого для производства и оказания услуг, на основании решения Правительственной комиссии через Фонд поддержки молодых предпринимателей при МинИВТ (#ФПМП) сроком на 7 лет.
При этом данные выделенные кредитные средства на основании предложений СовМина Каракалпакстана распределяются Правительственной комиссией (Ходжаев Ж.);
г) координаторам Программы развития семейного предпринимательства (Убайдуллаев М., Камалов А., Султанов Д.) до конца 2022 года обеспечить выделение дополнительно 200 млрд сумов кредитов за счёт ресурсов, выделенных на программу, для финансирования проектов в рамках программ развития семейного предпринимательства в Каракалпакстане.
Определено, что в случае, если законодательством предусмотрены налоговые льготы по размеру вышеперечисленных, в отношении субъектов предпринимательства применяются наиболее благоприятные налоговые льготы. При этом принято к сведению наличие расширенного перечня налоговых льгот для субъектов предпринимательства Муйнакского района.
#Каракалпакстан #льготы #кредиты #налоги
📜✍🏽 Также указом Президента РУз от 31.08.2022 г. №УП-213 одобрено выделение кредитной линии коммерческим банкам за счёт средств #ФРРУз в эквиваленте $100 млн на следующих условиях:
а) кредитная линия в размере $95 млн выделяется сроком на 7 лет, включая трёхлетний льготный период по годовой ставке 10% в национальной валюте. При этом:
➖коммерческими банками кредиты выделяются для реализации проектов в сфере производства и оказания услуг (за исключением проектов в сфере жилищного строительства, торговли, посреднической сфере, а также производителей подакцизных товаров, ГУП и юр.лиц с госдолей и пополнения оборотных средств) в размере до 10 млрд сумов по ставке 14% годовых сроком до 7 лет, включая льготный период до 2 лет;
➖перечень проектов, финансируемых за счёт выделенной данной кредитной линии, формируется Правительственной комиссией на основании рекомендации СовМина Каракалпакстана;
б) в рамках проекта «Создание малых водоемов в дельте Амударьи. Фаза II» для организации работ по финансированию выделяются средства кредитной линии в эквиваленте $5 млн. При этом #ФРРУз выделяет Минводхозу краткосрочный кредит в размере $5 млн по основной ставке ЦБ на срок до 31.12.2023г. и данный кредит позднее переводится заказчику проекта – Нукусскому филиалу исполнительного комитета Международного фонда спасения Арала (#МФСА).
Минфин РУз в срок до 31.12.2023 г. возвращает из Госбюджета в ФРРУз расходы, связанные с возвратом привлечённого из ФРРУз кредита и выплатой начисленных по нему процентов с учётом разницы курсов валют на дату выплаты, установленной ЦБ, в эквиваленте в долларах США.
Также даны поручения:
➖Минфину РУз в срок до 1 октября 2022 года выделить в республиканский бюджет Каракалпакстана дополнительно до 100 млрд сумов для выделения на каждую малообеспеченную семью единовременной материальной помощи в 2-кратном размере БРВ;
➖Минтранс совместно с Минфином, АО «Узбекистон темир йуллари» и авиакомпаниями-резидентами в месячный срок утвердить специальные льготные тарифы для соответствующих категорий пассажиров. При этом поручено, что с 15.09.2022г реализацию ж/д и авиапассажирских билетов для получателей пенсии по возрасту и пособий, лиц с инвалидностью, проживающих в Каракалпакстане и Хорезмской области, осуществлять по 50-процентным льготным тарифам, а также расходы компаний по пассажироперевозкам, связанные с предоставлением этой льготы, компенсировать за счёт республиканского бюджета Узбекистана;
➖МинИВТ до конца года обеспечить привлечение $160 млн от международных финансовых институтов на реконструкцию участка автодороги международного значения А-380 «Гузар – Бухара – Нукус – Бейнеу», проходящего через Турткульский, Берунийский и Элликкалинский районы.
Кроме того, указом утверждена «Дорожная карта» по социально-экономическому развитию Республики Каракалпакстан, устранению существующих проблем, обеспечению занятости населения и дальнейшему развитию предпринимательства.
#Каракалпакстан #льготы
#ГАЖК #UzbekistanAirways #госдолг
а) кредитная линия в размере $95 млн выделяется сроком на 7 лет, включая трёхлетний льготный период по годовой ставке 10% в национальной валюте. При этом:
➖коммерческими банками кредиты выделяются для реализации проектов в сфере производства и оказания услуг (за исключением проектов в сфере жилищного строительства, торговли, посреднической сфере, а также производителей подакцизных товаров, ГУП и юр.лиц с госдолей и пополнения оборотных средств) в размере до 10 млрд сумов по ставке 14% годовых сроком до 7 лет, включая льготный период до 2 лет;
➖перечень проектов, финансируемых за счёт выделенной данной кредитной линии, формируется Правительственной комиссией на основании рекомендации СовМина Каракалпакстана;
б) в рамках проекта «Создание малых водоемов в дельте Амударьи. Фаза II» для организации работ по финансированию выделяются средства кредитной линии в эквиваленте $5 млн. При этом #ФРРУз выделяет Минводхозу краткосрочный кредит в размере $5 млн по основной ставке ЦБ на срок до 31.12.2023г. и данный кредит позднее переводится заказчику проекта – Нукусскому филиалу исполнительного комитета Международного фонда спасения Арала (#МФСА).
Минфин РУз в срок до 31.12.2023 г. возвращает из Госбюджета в ФРРУз расходы, связанные с возвратом привлечённого из ФРРУз кредита и выплатой начисленных по нему процентов с учётом разницы курсов валют на дату выплаты, установленной ЦБ, в эквиваленте в долларах США.
Также даны поручения:
➖Минфину РУз в срок до 1 октября 2022 года выделить в республиканский бюджет Каракалпакстана дополнительно до 100 млрд сумов для выделения на каждую малообеспеченную семью единовременной материальной помощи в 2-кратном размере БРВ;
➖Минтранс совместно с Минфином, АО «Узбекистон темир йуллари» и авиакомпаниями-резидентами в месячный срок утвердить специальные льготные тарифы для соответствующих категорий пассажиров. При этом поручено, что с 15.09.2022г реализацию ж/д и авиапассажирских билетов для получателей пенсии по возрасту и пособий, лиц с инвалидностью, проживающих в Каракалпакстане и Хорезмской области, осуществлять по 50-процентным льготным тарифам, а также расходы компаний по пассажироперевозкам, связанные с предоставлением этой льготы, компенсировать за счёт республиканского бюджета Узбекистана;
➖МинИВТ до конца года обеспечить привлечение $160 млн от международных финансовых институтов на реконструкцию участка автодороги международного значения А-380 «Гузар – Бухара – Нукус – Бейнеу», проходящего через Турткульский, Берунийский и Элликкалинский районы.
Кроме того, указом утверждена «Дорожная карта» по социально-экономическому развитию Республики Каракалпакстан, устранению существующих проблем, обеспечению занятости населения и дальнейшему развитию предпринимательства.
#Каракалпакстан #льготы
#ГАЖК #UzbekistanAirways #госдолг
Перечень месторождений полезных ископаемых и перспективных участков, реализуемых на аукционных торгах в Республике Каракалпакстан в 2022–2023 годах, утверждённый указом Президента РУз от 31.08.2022 г. №УП-213
#Каракалпакстан #приватизация #Госкомгеологии
#Каракалпакстан #приватизация #Госкомгеологии
Юридические лица, в которых АО «Узметкомбинат» владеет долями, а также коммерческие организации, доли АО в которых переданы государству
Источник: ЕПКИ
#Узметкомбинат
Источник: ЕПКИ
#Узметкомбинат