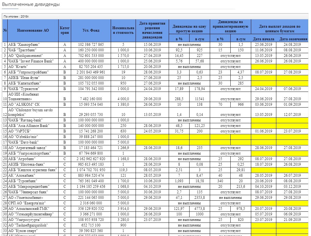
Пренебрежение принципами прозрачности в ведении дивидендной политики может существенно снизить инвестиционную привлекательность АО
Республиканской фондовой биржей «Тошкент» проанализировано соблюдение листинговыми компаниями требований законодательства в части раскрытия информации, а также изучены данные по выплатам дивидендов акционерам.
#РФБ также отмечает, что дивиденды являются одним из значительных факторов в принятии решения инвесторами о приобретении акций. Пренебрежение принципами прозрачности в ведении дивидендной политики может существенно снизить инвестиционную привлекательность акционерных обществ.
На сегодняшний день, из 98 эмитентов, включённых в биржевой котировальный лист РФБ, 13 эмитентов, не предоставили информацию о дивидендах по итогам 2018 года, сообщает РФБ.
РФБ опубликовала в табличной форме на своём веб-сайте более подробную информацию о выплатах дивидендов [на фото].
Республиканской фондовой биржей «Тошкент» проанализировано соблюдение листинговыми компаниями требований законодательства в части раскрытия информации, а также изучены данные по выплатам дивидендов акционерам.
#РФБ также отмечает, что дивиденды являются одним из значительных факторов в принятии решения инвесторами о приобретении акций. Пренебрежение принципами прозрачности в ведении дивидендной политики может существенно снизить инвестиционную привлекательность акционерных обществ.
На сегодняшний день, из 98 эмитентов, включённых в биржевой котировальный лист РФБ, 13 эмитентов, не предоставили информацию о дивидендах по итогам 2018 года, сообщает РФБ.
РФБ опубликовала в табличной форме на своём веб-сайте более подробную информацию о выплатах дивидендов [на фото].
Центральный депозитарий сообщает, что им ведутся работы по внедрению услуги “Электронное голосование” для проведения общих собраний акционеров дистанционно через Интернет.
Чтобы воспользоваться возможностью электронного голосования на ОСА, ЦД указывает на необходимость наличия правильного адреса электронной почты и номера мобильной телефонной связи акционера. Для этого акционерам (акционерным обществам) следует предоставить актуальные контактные данные номинальным держателям акций – инвестпосредникам или в ЦД.
Напомним, что 14 апреля Агентство по управлению госактивами объявило о создании электронной платформы «eVOTE - электронное голосование», позволяющей дистанционно участвовать на собраниях акционеров и заседаниях набсовета, а также голосовать по вопросам повестки дня вне зависимости от места нахождения.
#ЦД #Evote
Чтобы воспользоваться возможностью электронного голосования на ОСА, ЦД указывает на необходимость наличия правильного адреса электронной почты и номера мобильной телефонной связи акционера. Для этого акционерам (акционерным обществам) следует предоставить актуальные контактные данные номинальным держателям акций – инвестпосредникам или в ЦД.
Напомним, что 14 апреля Агентство по управлению госактивами объявило о создании электронной платформы «eVOTE - электронное голосование», позволяющей дистанционно участвовать на собраниях акционеров и заседаниях набсовета, а также голосовать по вопросам повестки дня вне зависимости от места нахождения.
#ЦД #Evote
В Андижанской, Навоийской и Сурхандарьинской областях основная часть производства сконцентрирована в одной отрасли или приходится на долю госпредприятий
В частности:
➖ 69% промышленного производства в Андижане составляет машиностроение;
➖ 72,5% в Навоийской области – горное дело и металлургия.
Доля сурхандарьинской промышленности в стране составляет всего 1,5%, а её доля в валовом региональном продукте – лишь 8%, что является одним из самых низких показателей по Узбекистану.
Об этом было отмечено на вчерашнем совещании, проведённом под председательством Президента, по вопросам повышения экономического потенциала районов и городов Андижанской, Навоийской и Сурхандарьинской областей.
На совещании отмечалось, что в этих регионах имеются все возможности для диверсификации отраслей, и были определены меры в этом направлении.
В частности, указано на возможность производства строительных материалов путём освоения месторождений в горах Булакбашинского района Андижанской области. Поручено создать небольшую промышленную зону на базе низкоурожайных площадей рядом с автомобильным заводом в Асакинском районе и увеличить производство комплектующих.
Тамдынский район Навоийской области располагает запасами фосфоритов, стекла, цемента, декоративных строительных камней и известняка. Более глубокие геологические исследования в Учкудукском районе могут выявить больше ресурсов.
В Алтынсайском районе Сурхандарьинской области имеются запасы применяемого в строительстве облицовочного камня в объеме 10 млн. тонн.
Глава государства указал на множество таких возможностей и дал соответствующие поручения ответственным лицам, сообщает пресс-служба Президента. Так, Министерству экономического развития и сокращения бедности совместно с хокимами областей поручено создать 10 новых малых промышленных зон на 33 гектарах земли и на базе неиспользуемых зданий площадью 5,3 тысячи квадратных метров в Андижане, Навои и Сурхандарье.
В частности:
➖ 69% промышленного производства в Андижане составляет машиностроение;
➖ 72,5% в Навоийской области – горное дело и металлургия.
Доля сурхандарьинской промышленности в стране составляет всего 1,5%, а её доля в валовом региональном продукте – лишь 8%, что является одним из самых низких показателей по Узбекистану.
Об этом было отмечено на вчерашнем совещании, проведённом под председательством Президента, по вопросам повышения экономического потенциала районов и городов Андижанской, Навоийской и Сурхандарьинской областей.
На совещании отмечалось, что в этих регионах имеются все возможности для диверсификации отраслей, и были определены меры в этом направлении.
В частности, указано на возможность производства строительных материалов путём освоения месторождений в горах Булакбашинского района Андижанской области. Поручено создать небольшую промышленную зону на базе низкоурожайных площадей рядом с автомобильным заводом в Асакинском районе и увеличить производство комплектующих.
Тамдынский район Навоийской области располагает запасами фосфоритов, стекла, цемента, декоративных строительных камней и известняка. Более глубокие геологические исследования в Учкудукском районе могут выявить больше ресурсов.
В Алтынсайском районе Сурхандарьинской области имеются запасы применяемого в строительстве облицовочного камня в объеме 10 млн. тонн.
Глава государства указал на множество таких возможностей и дал соответствующие поручения ответственным лицам, сообщает пресс-служба Президента. Так, Министерству экономического развития и сокращения бедности совместно с хокимами областей поручено создать 10 новых малых промышленных зон на 33 гектарах земли и на базе неиспользуемых зданий площадью 5,3 тысячи квадратных метров в Андижане, Навои и Сурхандарье.
"Наиболее коррумпированными в Узбекистане являются госпредприятия и госучреждения, органы внутренних дел и банки"
Выдержки из статьи «Измерение коррупции», опубликованной в review.uz:
Благодаря более легкому доступу к относительно точным данным о коррупции, правительство смогло бы разработать более эффективную политику и нормативные инструменты для решения проблемы коррупции и широкого круга сопутствующих вопросов, таких как неравенство в предоставлении государственных услуг, бедность и изоляция, а также лазейки в системах финансирования, которые способствуют «отмыванию» денег, уклонению от уплаты налогов и подкупу.
На сегодняшний день в мире практикуются пять основных методов измерения уровня коррупции:
💸 Оценка восприятия коррупции. Этот метод подразумевает опрос страновых экспертов и населения о состоянии коррупции в стране. Вместе с тем, недостатком этого метода является то, что на мнения населения и экспертов могут влиять СМИ, в то время как уровень открытости и качество предоставляемой ими информации колеблется по странам и по времени.
💸Опросный метод оценки коррупции, который подразумевает проведение опроса среди населения и фирм об их опыте сталкивания с проблемами коррупции в стране. Недостатки вышеуказанного метода заключаются в заинтересованности некоторых респондентов в коррумпированности госорганов, в связи с чем они могут не сообщать об инцидентах коррупции.
💸Прямое наблюдение. Недостатком данного метода является требование большого количества временных и финансовых затрат для проведения соответствующих исследований.
💸 Оценка коррупции по вычитанию подразумевает сравнение заявленных расходов в отчётности и фактически использованных расходов, что обычно выполняется надзорными органами. Недостатки этого метода заключаются в том, что сами сотрудники проверяющих органов вполне могут быть склонны к получению взяток и сокрытию хищений.
… По Индексу восприятия коррупции организации Transparency International Узбекистан в 2019 году Узбекистан занял 153-е место из 180-ти, в то время как в 2010 году занимал 172-е место.
По результатам опроса «Борьба с коррупцией в зеркале общественного мнения», проведенного Центром «Ижтимоий фикр», в 2018 году системы здравоохранения, высшего и государственного образования и процесс найма были определены как наиболее коррумпированные сферы в Узбекистане. Далее следуют суды, органы прокуратуры, МВД, налоговые органы и органы санитарно-эпидемиологического надзора и контроля [см #].
В Узбекистане выявленные коррупционные правонарушения указывают на то, что наиболее коррумпированными сферами являются государственные предприятия и учреждения, органы внутренних дел и банки...
На сегодняшний день общее количество предприятий с госдолей составляет 2819 единиц, из них в 2000 государство имеет долю больше 50% [см #]. Как правило, на госпредприятиях существует не столь жёсткий контроль за использованием сотрудниками ресурсов предприятия, как в частном секторе, что создает мотивы для коррупции и хищения.
Большая часть отраслей экономики регулируется отдельными постановлениями правительства. Сохраняется высокая доля госинвестиций в общем объёме инвестиций. Государство регулирует цены в отношении 37 видов товаров и услуг. На 4 работников негосударственного сектора сегодня приходится 1 работник в госсекторе.
Для устранения коррупции необходимо разработать стратегию, которая предполагает поэтапные меры, направленные, прежде всего, на сокращение излишнего госвмешательства в экономику, оптимизацию количества работников в госучреждениях, что в последующем приведёт к росту оплаты труда в этих организациях…
Полноценная работа «электронного правительства» позволяет сделать прозрачными большинство госзакупок и всю систему отношений населения, бизнеса и государства, значительно сокращает объем бюрократической волокиты [#].
PS:
Выдержки из статьи «Измерение коррупции», опубликованной в review.uz:
Благодаря более легкому доступу к относительно точным данным о коррупции, правительство смогло бы разработать более эффективную политику и нормативные инструменты для решения проблемы коррупции и широкого круга сопутствующих вопросов, таких как неравенство в предоставлении государственных услуг, бедность и изоляция, а также лазейки в системах финансирования, которые способствуют «отмыванию» денег, уклонению от уплаты налогов и подкупу.
На сегодняшний день в мире практикуются пять основных методов измерения уровня коррупции:
💸 Оценка восприятия коррупции. Этот метод подразумевает опрос страновых экспертов и населения о состоянии коррупции в стране. Вместе с тем, недостатком этого метода является то, что на мнения населения и экспертов могут влиять СМИ, в то время как уровень открытости и качество предоставляемой ими информации колеблется по странам и по времени.
💸Опросный метод оценки коррупции, который подразумевает проведение опроса среди населения и фирм об их опыте сталкивания с проблемами коррупции в стране. Недостатки вышеуказанного метода заключаются в заинтересованности некоторых респондентов в коррумпированности госорганов, в связи с чем они могут не сообщать об инцидентах коррупции.
💸Прямое наблюдение. Недостатком данного метода является требование большого количества временных и финансовых затрат для проведения соответствующих исследований.
💸 Оценка коррупции по вычитанию подразумевает сравнение заявленных расходов в отчётности и фактически использованных расходов, что обычно выполняется надзорными органами. Недостатки этого метода заключаются в том, что сами сотрудники проверяющих органов вполне могут быть склонны к получению взяток и сокрытию хищений.
… По Индексу восприятия коррупции организации Transparency International Узбекистан в 2019 году Узбекистан занял 153-е место из 180-ти, в то время как в 2010 году занимал 172-е место.
По результатам опроса «Борьба с коррупцией в зеркале общественного мнения», проведенного Центром «Ижтимоий фикр», в 2018 году системы здравоохранения, высшего и государственного образования и процесс найма были определены как наиболее коррумпированные сферы в Узбекистане. Далее следуют суды, органы прокуратуры, МВД, налоговые органы и органы санитарно-эпидемиологического надзора и контроля [см #].
В Узбекистане выявленные коррупционные правонарушения указывают на то, что наиболее коррумпированными сферами являются государственные предприятия и учреждения, органы внутренних дел и банки...
На сегодняшний день общее количество предприятий с госдолей составляет 2819 единиц, из них в 2000 государство имеет долю больше 50% [см #]. Как правило, на госпредприятиях существует не столь жёсткий контроль за использованием сотрудниками ресурсов предприятия, как в частном секторе, что создает мотивы для коррупции и хищения.
Большая часть отраслей экономики регулируется отдельными постановлениями правительства. Сохраняется высокая доля госинвестиций в общем объёме инвестиций. Государство регулирует цены в отношении 37 видов товаров и услуг. На 4 работников негосударственного сектора сегодня приходится 1 работник в госсекторе.
Для устранения коррупции необходимо разработать стратегию, которая предполагает поэтапные меры, направленные, прежде всего, на сокращение излишнего госвмешательства в экономику, оптимизацию количества работников в госучреждениях, что в последующем приведёт к росту оплаты труда в этих организациях…
Полноценная работа «электронного правительства» позволяет сделать прозрачными большинство госзакупок и всю систему отношений населения, бизнеса и государства, значительно сокращает объем бюрократической волокиты [#].
PS:
На фото цитата из выступления главы Узбекистана 5 мая на видеоселекторном совещании в связи с чрезвычайными происшествиями в Бухарской и Сырдарьинской областях.По состоянию на 1 мая в Узбекистане 590 организаций в акционерной форме
Объём формирующих их уставный капитал акций составляет 137,31 трлн. сум по номинальной стоимости. При этом 4 банка, 1 лизинговая компания и #Узавтосаноат имеют действующие выпуски корпоративных облигаций на 408,06 млрд. сум по номиналу.
🔍Источник: ЦД
PS: 24 апреля был зарегистрирован дополнительный выпуск облигаций Капиталбанка на 50 млрд. сум, которого нет в данных ЦД по состоянию на 01.05.2020г.
Как известно, большая часть акций в денежном выражении всё ещё находится в собственности государства. Это акции в основном выпущены госхолдингами в форме АО [Узбекнефтегаз, Узгидроэнерго, Узавтосаноат, Узкимёсаноат, ГАЖК, Уздонмахсулот, Узагротехсаноат, НЭК, РЭС, ТЭС и др.], несколькими крупными предприятиями [АГМК, Узметкомбинат, Узвторцветмет, Uzbekistan Airways, Uzbekistan Airports, и др.], а также банками, биржами, страховыми и лизинговыми компаниями.
Объём формирующих их уставный капитал акций составляет 137,31 трлн. сум по номинальной стоимости. При этом 4 банка, 1 лизинговая компания и #Узавтосаноат имеют действующие выпуски корпоративных облигаций на 408,06 млрд. сум по номиналу.
🔍Источник: ЦД
PS: 24 апреля был зарегистрирован дополнительный выпуск облигаций Капиталбанка на 50 млрд. сум, которого нет в данных ЦД по состоянию на 01.05.2020г.
Как известно, большая часть акций в денежном выражении всё ещё находится в собственности государства. Это акции в основном выпущены госхолдингами в форме АО [Узбекнефтегаз, Узгидроэнерго, Узавтосаноат, Узкимёсаноат, ГАЖК, Уздонмахсулот, Узагротехсаноат, НЭК, РЭС, ТЭС и др.], несколькими крупными предприятиями [АГМК, Узметкомбинат, Узвторцветмет, Uzbekistan Airways, Uzbekistan Airports, и др.], а также банками, биржами, страховыми и лизинговыми компаниями.
🏛 Чистый убыток Tenge Bank по итогам прошлого года составляет 2,8 млрд. сум
5 мая Народный банк Казахстана как единственный акционер учреждённого им в Узбекистане в мае 2019 года АКБ «Tenge Bank» утвердил годовую финансовую отчётность #Тенгебанк за 2019 год по МСФО, подтверждённую аудиторской компанией “Делойт и Туш”.
Как указано в опубликованном решении, акционером принято к сведению, что чистый убыток Tenge Bank по итогам 2019 года составляет 2 816 669 000 (сум).
🔍Источник: ЕПКИ [
5 мая Народный банк Казахстана как единственный акционер учреждённого им в Узбекистане в мае 2019 года АКБ «Tenge Bank» утвердил годовую финансовую отчётность #Тенгебанк за 2019 год по МСФО, подтверждённую аудиторской компанией “Делойт и Туш”.
Как указано в опубликованном решении, акционером принято к сведению, что чистый убыток Tenge Bank по итогам 2019 года составляет 2 816 669 000 (сум).
🔍Источник: ЕПКИ [
на фото]👤💼 Объявлен конкурс на должность председателя правления фондовой биржи
Как указано в объявлении, кандидатами на должность руководителя #РФБ могут выступать лица, в возрасте от 25 до 55 лет, соответствующие следующим критериям:
➖наличие высшего финансово-экономического, технического или юридического образования (второе высшее зарубежное образование приветствуется);
➖наличие необходимой квалификации и опыта работы на руководящей должности в финансово – экономической сфере не менее 3-х лет. Опыт работы на аналогичных должностях в зарубежных и международных компаниях приветствуется;
➖свободное владение государственным и русским языками. Знание английского и других иностранных языков приветствуется;
➖умение грамотно пользоваться компьютерными технологиями, понимание и использование новых видов IT услуг и инструментов;
➖знание нормативных документов, применение современных инновационных методов управления и реализации проектов.
🗓 Срок предоставления документации: с 11 по 25 мая 2020 года.
Пакет представляемых документов должен включать:
➖ заявление претендента;
➖ копию паспорта претендента, личные сведения о претенденте и его трудовой деятельности в виде анкеты (объективки);
➖ короткий план о предлагаемой программе развития РФБ;
➖ рекомендательное письмо с последнего места работы (со стажем работы в данной организации не менее 2-х лет) приветствуется.
PS:
Как указано в объявлении, кандидатами на должность руководителя #РФБ могут выступать лица, в возрасте от 25 до 55 лет, соответствующие следующим критериям:
➖наличие высшего финансово-экономического, технического или юридического образования (второе высшее зарубежное образование приветствуется);
➖наличие необходимой квалификации и опыта работы на руководящей должности в финансово – экономической сфере не менее 3-х лет. Опыт работы на аналогичных должностях в зарубежных и международных компаниях приветствуется;
➖свободное владение государственным и русским языками. Знание английского и других иностранных языков приветствуется;
➖умение грамотно пользоваться компьютерными технологиями, понимание и использование новых видов IT услуг и инструментов;
➖знание нормативных документов, применение современных инновационных методов управления и реализации проектов.
🗓 Срок предоставления документации: с 11 по 25 мая 2020 года.
Пакет представляемых документов должен включать:
➖ заявление претендента;
➖ копию паспорта претендента, личные сведения о претенденте и его трудовой деятельности в виде анкеты (объективки);
➖ короткий план о предлагаемой программе развития РФБ;
➖ рекомендательное письмо с последнего места работы (со стажем работы в данной организации не менее 2-х лет) приветствуется.
PS:
C августа 2018 года единственной в Узбекистане фондовой биржей руководит Бекзод Шавкатович Усманов, который до этого работал в НАПУ и Минэкономики [#].Меры по борьбе с последствиями пандемии COVID-19 в Узбекистане.
Из обзора Центра экономических исследований и реформ при Администрации Президента и Центра «Стратегия развития».
Из обзора Центра экономических исследований и реформ при Администрации Президента и Центра «Стратегия развития».
Меры по борьбе с последствиями пандемии COVID-19 в Узбекистане
Из обзора Центра экономических исследований и реформ при Администрации Президента и Центра «Стратегия развития».
Из обзора Центра экономических исследований и реформ при Администрации Президента и Центра «Стратегия развития».
Меры по борьбе с последствиями пандемии COVID-19 в Узбекистане
Из обзора Центра экономических исследований и реформ при Администрации Президента и Центра «Стратегия развития».
Из обзора Центра экономических исследований и реформ при Администрации Президента и Центра «Стратегия развития».
«Ёмкость существующих серверов иссякает, для реализации более 300 проектов в сфере требуется в 10 раз больше серверных мощностей»
Поручено привлечь иностранные кредиты и построить дата-центр стоимостью 30 млн. долларов
Только 30 % из более чем 700 информационных систем в госорганах подключены к системе «Электронное правительство». Из 80 ведомств, оказывающих госуслуги, лишь 27 интегрированы с Агентством госуслуг.
Об этом указано на совещании, проведённом сегодня Президентом, по вопросам широкого внедрения цифровой экономики и электронного правительства.
Как сообщает пресс-служба главы государства, в данной сфере намечено реализовать:
➖104 проекта на 1,3 трлн. сум в рамках электронного правительства;
➖87 проектов на 5,3 трлн. сум в реальном секторе экономики;
➖35 проектов на 15,1 трлн. сум в сфере телекоммуникаций;
➖18 проектов – по IT-паркам и 24 проекта в аграрном секторе.
Президент поручил внедрить порядок повышения размера премиальных выплат руководителям министерств и ведомств или его снижения исходя из уровня внедрения в них информационных технологий [см #].
В этом году стоит задача увеличения охвата оптико-волоконной связью в системе дошкольного образования с 41% до 100 %, в системе народного образования – с 40% до 70 %, в здравоохранении – с 38% до 100%. В связи с этим перед Мининфоком поставлена задача обеспечить социальные объекты высокоскоростным доступом в интернет, довести до конца 2020 года охват высокоскоростного мобильного интернета до 90 %.
В ходе совещании отмечено, что ёмкость существующих серверов иссякает, для реализации более 300 проектов в сфере требуется в 10 раз больше серверных мощностей. Даны указания увеличить количество центров обработки информации, привлечь иностранные кредиты и построить дата-центр стоимостью 30 млн. долл. США.
🔍Источник: president.uz
Напомним, что 2020 год был объявлен «Годом развития науки, просвещения и цифровой экономики». В январском Послании Президента Олий Мажлису активный переход к цифровой экономике был определен в качестве одного из главных приоритетов на ближайшие 5 лет.
PS: Постановлением Президента от 28.04.2020г. №ПП-4699 уполномоченным органом в сфере развития цифровой экономики и электронного правительства вновь стало Мининфоком. До этого, Национальное агентство проектного управления при Президенте в соответствии с ПП-3832 от 03.07.2018г. являлось уполномоченным органом в сфере внедрения и развития цифровой экономики.
Указом Президента от 13.12.2018г. №УП-5598 НАПУ было определено уполномоченным органом в области электронного правительства, а также внедрения информационных систем в госуправлении. При этом было дано поручение Мининфоком совместно с заинтересованными ведомствами приостановить реализацию и финансирование всех проектов в рамках системы «Электронное правительство».
На фото слева Садиков Шухрат Мухамаджанович, министр по развитию информационных технологий и коммуникаций. В 2017-2018 годы занимал должность директора НАПУ [#].
Поручено привлечь иностранные кредиты и построить дата-центр стоимостью 30 млн. долларов
Только 30 % из более чем 700 информационных систем в госорганах подключены к системе «Электронное правительство». Из 80 ведомств, оказывающих госуслуги, лишь 27 интегрированы с Агентством госуслуг.
Об этом указано на совещании, проведённом сегодня Президентом, по вопросам широкого внедрения цифровой экономики и электронного правительства.
Как сообщает пресс-служба главы государства, в данной сфере намечено реализовать:
➖104 проекта на 1,3 трлн. сум в рамках электронного правительства;
➖87 проектов на 5,3 трлн. сум в реальном секторе экономики;
➖35 проектов на 15,1 трлн. сум в сфере телекоммуникаций;
➖18 проектов – по IT-паркам и 24 проекта в аграрном секторе.
Президент поручил внедрить порядок повышения размера премиальных выплат руководителям министерств и ведомств или его снижения исходя из уровня внедрения в них информационных технологий [см #].
В этом году стоит задача увеличения охвата оптико-волоконной связью в системе дошкольного образования с 41% до 100 %, в системе народного образования – с 40% до 70 %, в здравоохранении – с 38% до 100%. В связи с этим перед Мининфоком поставлена задача обеспечить социальные объекты высокоскоростным доступом в интернет, довести до конца 2020 года охват высокоскоростного мобильного интернета до 90 %.
В ходе совещании отмечено, что ёмкость существующих серверов иссякает, для реализации более 300 проектов в сфере требуется в 10 раз больше серверных мощностей. Даны указания увеличить количество центров обработки информации, привлечь иностранные кредиты и построить дата-центр стоимостью 30 млн. долл. США.
🔍Источник: president.uz
Напомним, что 2020 год был объявлен «Годом развития науки, просвещения и цифровой экономики». В январском Послании Президента Олий Мажлису активный переход к цифровой экономике был определен в качестве одного из главных приоритетов на ближайшие 5 лет.
PS: Постановлением Президента от 28.04.2020г. №ПП-4699 уполномоченным органом в сфере развития цифровой экономики и электронного правительства вновь стало Мининфоком. До этого, Национальное агентство проектного управления при Президенте в соответствии с ПП-3832 от 03.07.2018г. являлось уполномоченным органом в сфере внедрения и развития цифровой экономики.
Указом Президента от 13.12.2018г. №УП-5598 НАПУ было определено уполномоченным органом в области электронного правительства, а также внедрения информационных систем в госуправлении. При этом было дано поручение Мининфоком совместно с заинтересованными ведомствами приостановить реализацию и финансирование всех проектов в рамках системы «Электронное правительство».
На фото слева Садиков Шухрат Мухамаджанович, министр по развитию информационных технологий и коммуникаций. В 2017-2018 годы занимал должность директора НАПУ [#].
📜✍️ Постановлением КабМина от 08.05.2020г. №273 утверждены положения:
➖О порядке ведения учёта объектов государственной собственности;
➖О порядке ведения учёта и управления объектами государственной собственности, находящимися за рубежом.
Данным постановлением Агентству по управлению госактивами среди прочего поручено в двухмесячный срок внести в КабМин предложения по внесению изменений и дополнений в Кодекс об административной ответственности, предусматривающих установление санкций за невыполнение предписания #АУГА о предоставлении информации об объектах госсобственности, в том числе за рубежом.
🔍 См ПКМ№273 от 08.05.2020г. (на узб. языке)
➖О порядке ведения учёта объектов государственной собственности;
➖О порядке ведения учёта и управления объектами государственной собственности, находящимися за рубежом.
Данным постановлением Агентству по управлению госактивами среди прочего поручено в двухмесячный срок внести в КабМин предложения по внесению изменений и дополнений в Кодекс об административной ответственности, предусматривающих установление санкций за невыполнение предписания #АУГА о предоставлении информации об объектах госсобственности, в том числе за рубежом.
🔍 См ПКМ№273 от 08.05.2020г. (на узб. языке)
🏛 Объявление на веб-сайте РФБ о предстоящей сделке по продаже акций Универсал банк [UNVB]
🔍См сущфакты Банка на ЕПКИ
🔍См сущфакты Банка на ЕПКИ
Долг Узхимпрома и ФерганаАзот по кредитам НБУ составляет свыше 35 млн. долларов. Правительством принято предложение НБУ продлить срок его возврата до конца 2022 года, конвертировать в нацвалюту и пересмотреть процентную ставку.
📜✍️ Согласно постановлению КабМина от 11.05.2020г. №276 по состоянию на начало текущего года общая кредитная задолженность по инвестпроектам АО «Фергана Азот» перед Узнацбанком (НБУ) составляет 35,8 млн. долл.США, при этом:
➖основной долг - 3,3 млн. долл.
➖проценты – 32,5 млн. долл.
Правительственном дано согласие на предложение АО «Узкимёсаноат» (отраслевой госхолдинг) и НБУ:
➖продлить срок возврата кредита, выделенного для финансирования инвестпроектов АО «Фергана Азот» в иностранной валюте, до декабря 2022 года;
➖конвертировать остаток суммы кредита, выделенного для финансирования инвестпроектов АО «Фергана Азот», из иностранной валюты в национальную;
➖установить процентную ставку по остаткам суммы кредита на уровне ставки рефинансирования Центробанка.
Проекты, указанные в ПКМ №41 от 28.01.1999г. и ПКМ №484 от 30.10.1999г. реализованы со стороны АО «Фергана Азот» с привлечением кредитов Узнацбанка под государственную гарантию.
Данным постановлением Минфину поручено переоформить предоставленную Узнацбанку госгарантию по кредитным обязательствам АО «Узкимёсаноат» и АО «Фергана Азот», в связи с принятием предложения по пересмотру сроков, процентов и конвертации кредитной задолженности.
PS: 2 мая АО «Узкимесаноат» объявило, что срок продажи долей в Акционерных обществах «Фергана Азот» и «Дехканабадский калийный завод» в размере 51 % от уставного капитала обществ продлён. Напомним, что основанием для продажи долей является постановление Президента от 03.04.2019г. №ПП-4265 [см также #] .
📜✍️ Согласно постановлению КабМина от 11.05.2020г. №276 по состоянию на начало текущего года общая кредитная задолженность по инвестпроектам АО «Фергана Азот» перед Узнацбанком (НБУ) составляет 35,8 млн. долл.США, при этом:
➖основной долг - 3,3 млн. долл.
➖проценты – 32,5 млн. долл.
Правительственном дано согласие на предложение АО «Узкимёсаноат» (отраслевой госхолдинг) и НБУ:
➖продлить срок возврата кредита, выделенного для финансирования инвестпроектов АО «Фергана Азот» в иностранной валюте, до декабря 2022 года;
➖конвертировать остаток суммы кредита, выделенного для финансирования инвестпроектов АО «Фергана Азот», из иностранной валюты в национальную;
➖установить процентную ставку по остаткам суммы кредита на уровне ставки рефинансирования Центробанка.
Проекты, указанные в ПКМ №41 от 28.01.1999г. и ПКМ №484 от 30.10.1999г. реализованы со стороны АО «Фергана Азот» с привлечением кредитов Узнацбанка под государственную гарантию.
Данным постановлением Минфину поручено переоформить предоставленную Узнацбанку госгарантию по кредитным обязательствам АО «Узкимёсаноат» и АО «Фергана Азот», в связи с принятием предложения по пересмотру сроков, процентов и конвертации кредитной задолженности.
PS: 2 мая АО «Узкимесаноат» объявило, что срок продажи долей в Акционерных обществах «Фергана Азот» и «Дехканабадский калийный завод» в размере 51 % от уставного капитала обществ продлён. Напомним, что основанием для продажи долей является постановление Президента от 03.04.2019г. №ПП-4265 [см также #] .
🏛 Дано согласие на реорганизацию отдельных банков путём их консолидации... Приватизация госбанков откладывается
Анализ текущей ситуации в банковской сфере показывает наличие ряда системных проблем, препятствующих развитию банковского сектора в соответствии с экономическими преобразованиями и потребностями общества, таких как высокая доля присутствия государства в банковском секторе, недостаточное качество менеджмента и управления рисками в банках с участием государства, низкий уровень финансового посредничества в экономике.
📜✍️ Об этом сообщается в указе Президента от 12.05.2020г. , которым дано согласие на предложение Минфина и Центробанка:
➖об осуществлении поэтапной приватизации доли государства в #Ипотекабанк, Узпромстройбанк, #Асакабанк, #Алокабанк, #Кишлок_курилиш_банк и #Туронбанк, предусмотрев на первом этапе их институциональное преобразование (трансформацию деятельности) и на втором этапе – продажу госпакета акций;
➖о сохранении доли государства в уставных капиталах #НБУ, #Агробанк и #Микрокредитбанк;
➖о консолидации отдельных банков исходя из нормативных требований и экономической целесообразности их реорганизации.
🤔 Также указом признаны утратившим силу нормы ПП-4300 от 29.04.2019г. в части продажи госдолей в Алокабанк, Туронбанк и Asia Alliance Bank [см #].
Кроме того, указом утверждена Стратегия реформирования банковской системы на 2020–2025 годы, целевые показатели по реализации которой предусматривают:
➖повышение к 2025 году доли активов банков без госдоли в общем объёме активов банковской системы с текущих 15 % до 60 %;
➖повышение к концу 2025 года доли обязательств банков перед частным сектором в общем объеме обязательств с текущих 28 % до 70 %;
➖привлечение к 2025 году не менее трёх стратегических иностранных инвесторов в капиталы не менее трёх банков с госдолей;
➖повышение доли небанковских кредитных организаций в общем объёме кредитования с текущих 0,35 % до 4 % к 2025 году.
🔍См УП на uza.uz
#ЦБ #AAB
Анализ текущей ситуации в банковской сфере показывает наличие ряда системных проблем, препятствующих развитию банковского сектора в соответствии с экономическими преобразованиями и потребностями общества, таких как высокая доля присутствия государства в банковском секторе, недостаточное качество менеджмента и управления рисками в банках с участием государства, низкий уровень финансового посредничества в экономике.
📜✍️ Об этом сообщается в указе Президента от 12.05.2020г. , которым дано согласие на предложение Минфина и Центробанка:
➖об осуществлении поэтапной приватизации доли государства в #Ипотекабанк, Узпромстройбанк, #Асакабанк, #Алокабанк, #Кишлок_курилиш_банк и #Туронбанк, предусмотрев на первом этапе их институциональное преобразование (трансформацию деятельности) и на втором этапе – продажу госпакета акций;
➖о сохранении доли государства в уставных капиталах #НБУ, #Агробанк и #Микрокредитбанк;
➖о консолидации отдельных банков исходя из нормативных требований и экономической целесообразности их реорганизации.
🤔 Также указом признаны утратившим силу нормы ПП-4300 от 29.04.2019г. в части продажи госдолей в Алокабанк, Туронбанк и Asia Alliance Bank [см #].
Кроме того, указом утверждена Стратегия реформирования банковской системы на 2020–2025 годы, целевые показатели по реализации которой предусматривают:
➖повышение к 2025 году доли активов банков без госдоли в общем объёме активов банковской системы с текущих 15 % до 60 %;
➖повышение к концу 2025 года доли обязательств банков перед частным сектором в общем объеме обязательств с текущих 28 % до 70 %;
➖привлечение к 2025 году не менее трёх стратегических иностранных инвесторов в капиталы не менее трёх банков с госдолей;
➖повышение доли небанковских кредитных организаций в общем объёме кредитования с текущих 0,35 % до 4 % к 2025 году.
🔍См УП на uza.uz
#ЦБ #AAB
uza.uz
О cтратегии реформирования банковской системы Республики Узбекистан на 2020–2025 годы
📶 КорпИнфо 📰
🏛Капиталбанк опубликовал условия размещения недавно выпущенных корпоративных облигаций 24 апреля Агентством по развитию рынка капитала зарегистрирован выпуск корпоративных облигаций АКБ «Капиталбанк» на 50 млрд. сум [#], решение о выпуске которых было принято…
С сегодняшнего дня подлежат выставлению на биржевые торги РФБ корпоративные облигации АКБ «Капиталбанк» [KPB4].
Об этом сообщает фондовая биржа, согласно информации которой доходность облигаций равна ставке рефинансирования + 5% годовых.
🔍См текущие биржевые заявки на покупку и продажу акций и облигаций
Об этом сообщает фондовая биржа, согласно информации которой доходность облигаций равна ставке рефинансирования + 5% годовых.
🔍См текущие биржевые заявки на покупку и продажу акций и облигаций
Telegram
Оставайтесь дома! Республиканская Фондовая Биржа «Тошкент»
📣 С 13 мая 2020 года на торгах РФБ «Тошкент», для инвесторов стали доступны корпоративные облигации АКБ «Капиталбанк»
💰Доходность: ставка рефинансирования + 5% годовых
🗓 Срок обращения: 7 лет
💸 Номинальная стоимость: 1 000 000,00 сум.
💰Доходность: ставка рефинансирования + 5% годовых
🗓 Срок обращения: 7 лет
💸 Номинальная стоимость: 1 000 000,00 сум.
На 22 мая назначено внеочередное общее собрание акционеров АО «Ахангараншифер» для рассмотрения вопросов о переизбрании состава набсовета и объявления конкурса на должности в исполнительном органе АО.
Как указано в объявлении, внеочередное ОСА созывается по инициативе Агентства по управлению госактивами (письмо от 01.05.2020г. №2263/03-08-1).
Напомним, что 21 апреля Ташкентское областное управление #АУГА объявило, что цена продажи госдоли в АО «Ахангараншифер» в размере 53,97% от уставного капитала АО снижена до 77,21 млрд. сум (на 40%). При этом цена одной акции [OHSR, OHSR1] равна 580 885,20 сум.
Как указано в объявлении, внеочередное ОСА созывается по инициативе Агентства по управлению госактивами (письмо от 01.05.2020г. №2263/03-08-1).
Напомним, что 21 апреля Ташкентское областное управление #АУГА объявило, что цена продажи госдоли в АО «Ахангараншифер» в размере 53,97% от уставного капитала АО снижена до 77,21 млрд. сум (на 40%). При этом цена одной акции [OHSR, OHSR1] равна 580 885,20 сум.
На 5 июня назначено внеочередное общее собрание акционеров АО «Andijon tajriba-sinov zavodi» для рассмотрения вопроса о продаже административных и производственных зданий 2-механического сборочного цеха АО, расположенного по адресу г. Андижан, «Сой» МСГ, Кушарикский микрорайон, 7.
🔍Источник: ЕПКИ [см сущфакты АО]
PS: На внеочередном ОСА, состоявшемся 14.02.2020г. (
См на фото биржевые котировки на простые [ATSZ] и привил. [ATS1] акции АО «Andijon tajriba-sinov zavodi»
🔍Источник: ЕПКИ [см сущфакты АО]
PS: На внеочередном ОСА, состоявшемся 14.02.2020г. (
кворум ОСА-73,11%), было отказано в передачи зданий и сооружений 2-механического сборочного цеха АО в уставный фонд создаваемого предприятия при участии ООО «Zamon Teks» (за данное решение проголосовало 74,6 % голосов на ОСА).См на фото биржевые котировки на простые [ATSZ] и привил. [ATS1] акции АО «Andijon tajriba-sinov zavodi»
❇️ Для борьбы с пандемией и поддержки населения и предприятий в условиях карантина из Антикризисного фонда было выделено 3 трлн. сумов.
❇️ Для обеспечения экономической активности начаты новые инвестпроекты на сумму более 1 трлн. сумов.
❇️ Предоставлена отсрочка на погашение банковских кредитов 87 тысяч предпринимателей на общую сумму 18 трлн. сумов и около 2 млн. граждан на сумму свыше 5 трлн. сумов.
❇️ В апреле т.г. 250 тысяч предпринимателей и 83 тысячи фермерских хозяйств получили отсрочку по уплате налогов и других платежей на общую сумму 400 млрд. сумов.
❇️ Более 11 тысяч предпринимателей, пользующихся госсобственностью, освобождены от уплаты арендной платы [
Об этом сообщается пресс-службой Президента по случаю состоявшегося вчера 13 мая видеоселекторного совещания, посвящённого мерам по дальнейшему смягчению карантинных требований.
На совещании Президент отметил, что для дополнительной поддержки предпринимателей и населения в условиях пандемии:
✳️ ставка социального налога для малого бизнеса и фермерских хозяйств будет снижена с 12 % до 1 % в мае-июле (более 260 тысяч предприятий и фермерских хозяйств смогут сэкономить 650 млрд. сумов);
✳️ представители малого бизнеса и индивидуальные предприниматели будут освобождены от земельного налога и налога на имущество в течение следующих трёх месяцев (более 50 тысяч предпринимателей сэкономят 300 млрд. сумов). Также, в апреле-мае более 1000 предпринимателям будут списаны 80 млрд. сумов пени, начисленной за просрочку уплаты земельного и имущественного налогов;
✳️ предпринимателям будет разрешено оплачивать таможенные пошлины с отсрочкой до 120 дней;
✳️ для дальнейшей поддержки малообеспеченных семей из госбюджета будет выделено ещё 200 млрд. сумов, что позволит охватить пособиями ещё 70 тысяч семей (на 10 % больше).
✳️ государством частично будут покрываться процентные выплаты по инвестиционным кредитам со ставкой до 26 % (ранее – до 22 %). Также, компенсаций по кредитам на сумму до 500 млрд. сумов (ранее – до 10 млрд сумов), выданных предпринимателям на пополнение оборотных средств, будет увеличена с 5 % до 10 %;
✳️ в Ташкенте будет применяться внедренная в Андижанской, Наманганской и Ферганской областях практика кредитования населения на строительство и ремонт индивидуального жилья;
✳️ госорганам будет предоставлено право осуществлять госзакупки, запланированные на III-IV кварталы, уже во II квартале т.г.;
✳️ в целом, на дальнейшую поддержку экономики и граждан будет направлено из госбюджета дополнительно более 2 трлн. сумов.
Кроме того, на совещании отмечено, что сегодня население города Самарканда превышает 600 тысяч человек. Имеющиеся жилищный фонд и инфраструктура постепенно исчерпывают свой потенциал. Поэтому планируется расширить город за счёт Пастдаргамского, Нурабадского, Самаркандского районов, построить новые микрорайоны, города-спутники.
В Самаркандской области имеется 120 нерудных месторождений, 33 из которых не освоены промышленностью. К примеру, есть возможность наладить промышленную переработку 5,1 млн. кубометров керамзита и декоративных камней, 200 тысяч тонн ферросилиция.
Ответственным лицам поручено изучить инженерно-инфраструктурную обеспеченность действующих месторождений и организовать производство современных строительных материалов.
#Налоги #COVID19
❇️ Для обеспечения экономической активности начаты новые инвестпроекты на сумму более 1 трлн. сумов.
❇️ Предоставлена отсрочка на погашение банковских кредитов 87 тысяч предпринимателей на общую сумму 18 трлн. сумов и около 2 млн. граждан на сумму свыше 5 трлн. сумов.
❇️ В апреле т.г. 250 тысяч предпринимателей и 83 тысячи фермерских хозяйств получили отсрочку по уплате налогов и других платежей на общую сумму 400 млрд. сумов.
❇️ Более 11 тысяч предпринимателей, пользующихся госсобственностью, освобождены от уплаты арендной платы [
см также #].Об этом сообщается пресс-службой Президента по случаю состоявшегося вчера 13 мая видеоселекторного совещания, посвящённого мерам по дальнейшему смягчению карантинных требований.
На совещании Президент отметил, что для дополнительной поддержки предпринимателей и населения в условиях пандемии:
✳️ ставка социального налога для малого бизнеса и фермерских хозяйств будет снижена с 12 % до 1 % в мае-июле (более 260 тысяч предприятий и фермерских хозяйств смогут сэкономить 650 млрд. сумов);
✳️ представители малого бизнеса и индивидуальные предприниматели будут освобождены от земельного налога и налога на имущество в течение следующих трёх месяцев (более 50 тысяч предпринимателей сэкономят 300 млрд. сумов). Также, в апреле-мае более 1000 предпринимателям будут списаны 80 млрд. сумов пени, начисленной за просрочку уплаты земельного и имущественного налогов;
✳️ предпринимателям будет разрешено оплачивать таможенные пошлины с отсрочкой до 120 дней;
✳️ для дальнейшей поддержки малообеспеченных семей из госбюджета будет выделено ещё 200 млрд. сумов, что позволит охватить пособиями ещё 70 тысяч семей (на 10 % больше).
✳️ государством частично будут покрываться процентные выплаты по инвестиционным кредитам со ставкой до 26 % (ранее – до 22 %). Также, компенсаций по кредитам на сумму до 500 млрд. сумов (ранее – до 10 млрд сумов), выданных предпринимателям на пополнение оборотных средств, будет увеличена с 5 % до 10 %;
✳️ в Ташкенте будет применяться внедренная в Андижанской, Наманганской и Ферганской областях практика кредитования населения на строительство и ремонт индивидуального жилья;
✳️ госорганам будет предоставлено право осуществлять госзакупки, запланированные на III-IV кварталы, уже во II квартале т.г.;
✳️ в целом, на дальнейшую поддержку экономики и граждан будет направлено из госбюджета дополнительно более 2 трлн. сумов.
Кроме того, на совещании отмечено, что сегодня население города Самарканда превышает 600 тысяч человек. Имеющиеся жилищный фонд и инфраструктура постепенно исчерпывают свой потенциал. Поэтому планируется расширить город за счёт Пастдаргамского, Нурабадского, Самаркандского районов, построить новые микрорайоны, города-спутники.
В Самаркандской области имеется 120 нерудных месторождений, 33 из которых не освоены промышленностью. К примеру, есть возможность наладить промышленную переработку 5,1 млн. кубометров керамзита и декоративных камней, 200 тысяч тонн ферросилиция.
Ответственным лицам поручено изучить инженерно-инфраструктурную обеспеченность действующих месторождений и организовать производство современных строительных материалов.
#Налоги #COVID19
Forwarded from Правовая информация
#Новости_законодательства
⚡️ Произошли изменения в исполнительной структуре Кабинета Министров
Принято постановление Президента «О дополнительных мерах по совершенствованию деятельности Кабинета Министров Республики Узбекистан» (№ ПП–4710, 12.05.2020 г.).
В соответствии с постановлением утверждена обновленная исполнительная структура Кабинета Министров.
🔰 Введены следующие должности:
• заместитель Премьер-министра по вопросам социального развития;
• советник Премьер-министра – начальник Департамента по вопросам развития IT-технологий, телекоммуникаций и инновационной деятельности;
• советник Премьер-министра – начальник Департамента по вопросам развития промышленности и ее базовых отраслей, а также кооперационных связей.
🔰 Согласно постановлению, в исполнительной структуре Кабинета Министров упразднены следующие:
• должность заместителя Премьер-министра по вопросам образования и здравоохранения;
• должность советника Премьер-министра по вопросам развития промышленности и кооперационных связей;
• Секретариат по вопросам поддержки махалли, семьи и молодежи, культуры, духовности и общественных организаций;
• Секретариат по вопросам образования и здравоохранения.
Также, постановлением образован Секретариат по вопросам образования, здравоохранения, культуры, молодежи, духовности и общественных организаций, поддержки махалли и семьи.
Постановлением на Премьер-министра возложен ряд новых задач.
Премьер-министр, в частности, осуществляет непосредственное руководство над внедрением IT-технологий и «электронного правительства», обеспечением информационной безопасности, развитием телекоммуникаций, науки, научных исследований и инноваций.
Подписаться на канал👇👇👇
https://t.me/pravoinf
⚡️ Произошли изменения в исполнительной структуре Кабинета Министров
Принято постановление Президента «О дополнительных мерах по совершенствованию деятельности Кабинета Министров Республики Узбекистан» (№ ПП–4710, 12.05.2020 г.).
В соответствии с постановлением утверждена обновленная исполнительная структура Кабинета Министров.
🔰 Введены следующие должности:
• заместитель Премьер-министра по вопросам социального развития;
• советник Премьер-министра – начальник Департамента по вопросам развития IT-технологий, телекоммуникаций и инновационной деятельности;
• советник Премьер-министра – начальник Департамента по вопросам развития промышленности и ее базовых отраслей, а также кооперационных связей.
🔰 Согласно постановлению, в исполнительной структуре Кабинета Министров упразднены следующие:
• должность заместителя Премьер-министра по вопросам образования и здравоохранения;
• должность советника Премьер-министра по вопросам развития промышленности и кооперационных связей;
• Секретариат по вопросам поддержки махалли, семьи и молодежи, культуры, духовности и общественных организаций;
• Секретариат по вопросам образования и здравоохранения.
Также, постановлением образован Секретариат по вопросам образования, здравоохранения, культуры, молодежи, духовности и общественных организаций, поддержки махалли и семьи.
Постановлением на Премьер-министра возложен ряд новых задач.
Премьер-министр, в частности, осуществляет непосредственное руководство над внедрением IT-технологий и «электронного правительства», обеспечением информационной безопасности, развитием телекоммуникаций, науки, научных исследований и инноваций.
Подписаться на канал👇👇👇
https://t.me/pravoinf