Проданы госдоли в акционерных обществах «Энерготаъмир» и «Газавтоматика»
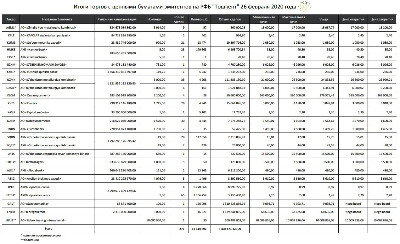
Сегодня через фондовую биржу оформлена продажа госдолей в АО «Energota’mir Maxsus ta'mirlash-ishlab chiqarish» и АО «Gazavtomatika» за 3,17 млрд. сумов и 1,51 млрд. сумов соответственно. При этом цена одной простой акции:
➖АО «Energota’mir» [ENTM] составила 68 635 сум, при номинале – 5000 сум/шт.
➖АО «Gazavtomatika» [GAVT] составила 9093,71 сум, при номинале – 100 сум/шт.
Размер проданных госдолей составляет:
➖10% (46 321 шт акций) от уставного капитала АО «Energota’mir»;
➖26% (166 096 шт. акций) от уставного капитала «Gazavtomatika».
🔍Источник: Итоги торгов на РФБ
#АУГА
Сегодня через фондовую биржу оформлена продажа госдолей в АО «Energota’mir Maxsus ta'mirlash-ishlab chiqarish» и АО «Gazavtomatika» за 3,17 млрд. сумов и 1,51 млрд. сумов соответственно. При этом цена одной простой акции:
➖АО «Energota’mir» [ENTM] составила 68 635 сум, при номинале – 5000 сум/шт.
➖АО «Gazavtomatika» [GAVT] составила 9093,71 сум, при номинале – 100 сум/шт.
Размер проданных госдолей составляет:
➖10% (46 321 шт акций) от уставного капитала АО «Energota’mir»;
➖26% (166 096 шт. акций) от уставного капитала «Gazavtomatika».
🔍Источник: Итоги торгов на РФБ
#АУГА
🤔«В настоящее время балансовая стоимость НГМК оценивается в 1,3 миллиарда долларов, тогда как рыночная цена иностранных предприятий такого уровня составляет 11 миллиардов долларов».
Рассмотрен вопрос выпуска международных облигаций НГМК
На проведённом вчера Президентом совещании по вопросам реформирования госпредприятия “Навоийский горно-металлургический комбинат” отмечено, что на долю НГМК приходится 10 % всей производимой в Узбекистане промышленной продукции и 18 % доходов госбюджета.
Как отмечено в пресс-релизе, по объёму сырьевых ресурсов НГМК занимает третье место среди мировых производителей золота. Однако стоимость его активов намного меньше аналогичных зарубежных компаний. Так, в настоящее время балансовая стоимость НГМК оценивается в 💲1,3 млрд., тогда как рыночная цена иностранных предприятий такого уровня составляет 💲11 млрд.
За последние три года объём добычи золота вырос на 2,5 %, серебра – на 37 %. Указано на необходимость доведения объёма производства на предприятии до 94 тонн к 2026 году, реализации для этого 40 проектов на $4 млрд., в том числе по освоению нового месторождения проектной стоимостью $525 млн.
На совещании перед Госкомгеологии и Минфином поставлена задача перевести оценку запасов и финотчётность на международные стандарты. Отмечена важность подготовки отчётов о запасах месторождений и их состоянии, данных по проектам добычи в соответствии с Австралийским кодексом (JORC Code).
Как отмечает пресс-служба главы государства, на совещании затронут также вопрос выпуска корпоративных еврооблигаций НГМК.
🔍Источник: president.uz
Напомним, что постановлением Президента от 17.01.2019г. №ПП-4124 было дано согласие на создание на базе НГМК предприятия по добыче и переработке урана в форме ГУП и предприятия по добыче и переработке драгоценных металлов в форме АО. При этом образованной данным ПП Республиканской комиссии по реформированию горно-металлургической отрасли было дано поручение завершить в срок до 1 декабря 2019 года процедуру по реорганизации ГП «Навоийский ГМК» и внесение предложений по вопросу передачи госдоли вновь созданного АО в доверительное управление профессиональным управляющим компаниям.
Постановлением также было установлено, что крупные предприятия горно-металлургической отрасли, включая НГМК начиная с итогов 2019 года:
➖в обязательном порядке составляют финотчётность в соответствии с МСФО и проводят независимый внешний аудит с привлечением международных аудиторских компаний;
➖внедряют в практику минимальные требования по уровню рентабельности продаж, активов, оборачиваемости активов и обязательств, а также других показателей, определяемых в соответствии с требованиями международных фондовых бирж и финансовых институтов.
#НГМК
Рассмотрен вопрос выпуска международных облигаций НГМК
На проведённом вчера Президентом совещании по вопросам реформирования госпредприятия “Навоийский горно-металлургический комбинат” отмечено, что на долю НГМК приходится 10 % всей производимой в Узбекистане промышленной продукции и 18 % доходов госбюджета.
Как отмечено в пресс-релизе, по объёму сырьевых ресурсов НГМК занимает третье место среди мировых производителей золота. Однако стоимость его активов намного меньше аналогичных зарубежных компаний. Так, в настоящее время балансовая стоимость НГМК оценивается в 💲1,3 млрд., тогда как рыночная цена иностранных предприятий такого уровня составляет 💲11 млрд.
За последние три года объём добычи золота вырос на 2,5 %, серебра – на 37 %. Указано на необходимость доведения объёма производства на предприятии до 94 тонн к 2026 году, реализации для этого 40 проектов на $4 млрд., в том числе по освоению нового месторождения проектной стоимостью $525 млн.
На совещании перед Госкомгеологии и Минфином поставлена задача перевести оценку запасов и финотчётность на международные стандарты. Отмечена важность подготовки отчётов о запасах месторождений и их состоянии, данных по проектам добычи в соответствии с Австралийским кодексом (JORC Code).
Как отмечает пресс-служба главы государства, на совещании затронут также вопрос выпуска корпоративных еврооблигаций НГМК.
🔍Источник: president.uz
Напомним, что постановлением Президента от 17.01.2019г. №ПП-4124 было дано согласие на создание на базе НГМК предприятия по добыче и переработке урана в форме ГУП и предприятия по добыче и переработке драгоценных металлов в форме АО. При этом образованной данным ПП Республиканской комиссии по реформированию горно-металлургической отрасли было дано поручение завершить в срок до 1 декабря 2019 года процедуру по реорганизации ГП «Навоийский ГМК» и внесение предложений по вопросу передачи госдоли вновь созданного АО в доверительное управление профессиональным управляющим компаниям.
Постановлением также было установлено, что крупные предприятия горно-металлургической отрасли, включая НГМК начиная с итогов 2019 года:
➖в обязательном порядке составляют финотчётность в соответствии с МСФО и проводят независимый внешний аудит с привлечением международных аудиторских компаний;
➖внедряют в практику минимальные требования по уровню рентабельности продаж, активов, оборачиваемости активов и обязательств, а также других показателей, определяемых в соответствии с требованиями международных фондовых бирж и финансовых институтов.
#НГМК
👤💼 Акмал Буриев возглавил Кварц
Решением набсовета АО «Кварц» [KVTS] от 17.02.2020г. Буриев Акмал Ибрагимович назначен исполняющим обязанности председателя правления АО.
До этого исполняющим обязанности руководителя АО был Ахмедов Жамолхон Халматович, назначенный таковым 25 июня 2019 года вместо Пулатова Акмала Азимовича [см #].
🔍Источник: ЕПКИ
#Кварц
Решением набсовета АО «Кварц» [KVTS] от 17.02.2020г. Буриев Акмал Ибрагимович назначен исполняющим обязанности председателя правления АО.
До этого исполняющим обязанности руководителя АО был Ахмедов Жамолхон Халматович, назначенный таковым 25 июня 2019 года вместо Пулатова Акмала Азимовича [см #].
🔍Источник: ЕПКИ
#Кварц
📶 КорпИнфо 📰
Проданы госдоли в акционерных обществах «Энерготаъмир» и «Газавтоматика» Сегодня через фондовую биржу оформлена продажа госдолей в АО «Energota’mir Maxsus ta'mirlash-ishlab chiqarish» и АО «Gazavtomatika» за 3,17 млрд. сумов и 1,51 млрд. сумов соответственно.…
Покупателем госдоли в АО «Газавтоматика» [26 % от у/к] стало ООО «Deutsche-Servis», расположенное по адресу Ташкентская область, Бустанлыкский район, посёлок «Сойлик».
🔍Источник: РФБ
🔍Источник: РФБ
IPO: По состоянию на 10:30 поступило 9 заявок на покупку акций АО "Джизак пластмасса".
При этом средства задепонированы на покупку 1,49% выставленных обществом на продажу акций.
🗓 Дата окончания подписки: 13.03.2020г.
🔍См сущфакты АО на ЕПКИ
#IPO
При этом средства задепонированы на покупку 1,49% выставленных обществом на продажу акций.
🗓 Дата окончания подписки: 13.03.2020г.
Номинальная стоимость одной акции АО [JIPL] составляет 3065 сум.🔍См сущфакты АО на ЕПКИ
#IPO
🇰🇿🇺🇿 Создаётся узбекско-казахское СП, которое будет поставлять автомобили на рынки России, Казахстана и других стран
Между АО «Узавтосаноат» и АО «Группа компаний «Аллюр» подписано соглашение о создании в Казахстане узбекско-казахского СП.
Учредителями данного СП будут ООО «Автосаноат Инвест» с узбекской стороны и крупнейший автопроизводитель Казахстана - ТОО «СарыаркаАвтоПром».
По сообщению пресс-службы Узавтосаноат, создание СП позволит расширить дистрибьюторскую сеть АО «UzAuto Motors» в Казахстане, снизить себестоимость продаваемых в Казахстане автомобилей, а также применять дополнительные финансово-страховые инструменты при продаже продукции.
🤔 Как указано в пресс-релизе Узавтосаноат, в рамках подписанного соглашения запланировано развитие экспортных рынков России, Казахстана и других стран, поставка на которые будет осуществляться через данную совместную компанию. Всего на экспортных ранках в ближайший период компанией запланировано открытие более 100 дилерских центров, входящих в единую сеть.
🔍См в Википедии об АО «Группа компаний «Аллюр»
#Узавтосаноат
Между АО «Узавтосаноат» и АО «Группа компаний «Аллюр» подписано соглашение о создании в Казахстане узбекско-казахского СП.
Учредителями данного СП будут ООО «Автосаноат Инвест» с узбекской стороны и крупнейший автопроизводитель Казахстана - ТОО «СарыаркаАвтоПром».
По сообщению пресс-службы Узавтосаноат, создание СП позволит расширить дистрибьюторскую сеть АО «UzAuto Motors» в Казахстане, снизить себестоимость продаваемых в Казахстане автомобилей, а также применять дополнительные финансово-страховые инструменты при продаже продукции.
🤔 Как указано в пресс-релизе Узавтосаноат, в рамках подписанного соглашения запланировано развитие экспортных рынков России, Казахстана и других стран, поставка на которые будет осуществляться через данную совместную компанию. Всего на экспортных ранках в ближайший период компанией запланировано открытие более 100 дилерских центров, входящих в единую сеть.
🔍См в Википедии об АО «Группа компаний «Аллюр»
#Узавтосаноат
Туронбанк выдаст Узбекгидроэнерго кредит на 101 млн. Евро за счёт привлекаемой кредитной линии от российской госкорпорации
На внеочередном общем собрании акционеров АКБ «Туронбанк» [TNBN, TNB1], состоявшемся 26 февраля (кворум – 98,39%), дано согласие на подписание крупных сделок по:
➖привлечению кредитной линии от Госкорпорации развития «ВЭБ. РФ» (Россия) на 101 312 129,0 Евро;
➖предоставлению банком Акционерному обществу «Узбекгидроэнерго» кредита на 101 312 129,0 Евро.
Также на данном ВОСА утверждены в новой редакции положения о набсовете, о ревкомиссии, о правлении АКБ «Туронбанк», а также новая оргструктура банка.
🔍Источник: ЕПКИ
См сущфакты банка на ЕПКИ
См аффилированные лица банка
#Узбекгидроэнерго
На внеочередном общем собрании акционеров АКБ «Туронбанк» [TNBN, TNB1], состоявшемся 26 февраля (кворум – 98,39%), дано согласие на подписание крупных сделок по:
➖привлечению кредитной линии от Госкорпорации развития «ВЭБ. РФ» (Россия) на 101 312 129,0 Евро;
➖предоставлению банком Акционерному обществу «Узбекгидроэнерго» кредита на 101 312 129,0 Евро.
Также на данном ВОСА утверждены в новой редакции положения о набсовете, о ревкомиссии, о правлении АКБ «Туронбанк», а также новая оргструктура банка.
🔍Источник: ЕПКИ
См сущфакты банка на ЕПКИ
См аффилированные лица банка
#Узбекгидроэнерго
По решению набсовета АО «Шаргун кумир» от 11.02.2020г., в Сурхандарьинской области созданы ООО «Шарғун Механика Заводи» и ООО «Шарғун Брикет».
🔍Источник: ЕПКИ
PS: По состоянию на 03.02.2020г. ГАЖК владеет 51% доли в уставном капитале АО «Шаргун кумир»
См сущфакты АО на ЕПКИ
#Узбекуголь
🔍Источник: ЕПКИ
PS: По состоянию на 03.02.2020г. ГАЖК владеет 51% доли в уставном капитале АО «Шаргун кумир»
См сущфакты АО на ЕПКИ
#Узбекуголь
Акции созданного в январе АО «Узсувкурилиш» поставлены на депозитарный учёт и размещены государству
По состоянию на конец февраля в Узбекистане 587 организаций в акционерной форме. Объём выпущенных ими акций составляет 120,54 трлн. сумов. При этом 6 АО также имеют корпоративные облигации в размещении (обращении) на 508,06 млрд. сумов [
На этой неделе на учёт в Центральном депозитарии поставлен первичный выпуск акций АО «Узсувкурилиш» на 223,98 млрд. сумов, зарегистрированный 18 февраля Агентством по развитию рынка капитала [#].
🤔 Вместе с тем, уменьшился на 61,64 млрд. сумов уставный капитал Узпромстройбанка [SQBN, SQB1] и теперь составляет 4,63 трлн. сумов.
🔍 Источник: ЦД
PS: АО «Узсувкурилиш» образовано на базе Республиканского объединения «Узсувкурилиштаъминот» [при Минводхоз] согласно постановлению Президента РУз. от 09.10.2019г. №ПП-4486. Организация прошла перерегистрацию 13.01.2020г [#].
Единственным учредителем АО является государство. Функции акционера по госпакету акций АО «Узсувкурилиш» осуществляет Агентство по управлению госактивами.
#ЦД
По состоянию на конец февраля в Узбекистане 587 организаций в акционерной форме. Объём выпущенных ими акций составляет 120,54 трлн. сумов. При этом 6 АО также имеют корпоративные облигации в размещении (обращении) на 508,06 млрд. сумов [
без учёта евробондов УзПСБ].На этой неделе на учёт в Центральном депозитарии поставлен первичный выпуск акций АО «Узсувкурилиш» на 223,98 млрд. сумов, зарегистрированный 18 февраля Агентством по развитию рынка капитала [#].
🤔 Вместе с тем, уменьшился на 61,64 млрд. сумов уставный капитал Узпромстройбанка [SQBN, SQB1] и теперь составляет 4,63 трлн. сумов.
🔍 Источник: ЦД
PS: АО «Узсувкурилиш» образовано на базе Республиканского объединения «Узсувкурилиштаъминот» [при Минводхоз] согласно постановлению Президента РУз. от 09.10.2019г. №ПП-4486. Организация прошла перерегистрацию 13.01.2020г [#].
Единственным учредителем АО является государство. Функции акционера по госпакету акций АО «Узсувкурилиш» осуществляет Агентство по управлению госактивами.
#ЦД
Даны указания по строительству в новом массиве автономной тепловой станции и созданию современной компании по эксплуатации и обслуживанию зданий
Сегодня глава государства с выездом на место ознакомился со строительством многоэтажных домов в махалле "Авайхон" Мирзо-Улугбекского района Ташкента.
⚠️ Президент дал указания по расширению применения отечественных материалов, снижению себестоимости квартир, выделению их и малообеспеченным семьям.
Подчеркнута важность поддержки малоимущих семей путём продления сроков погашения кредитов и предоставления жилья в аренду.
"Жители городов недовольны качеством коммунальных услуг. Не хватает профессиональных организаций, квалифицированных кадров в сфере эксплуатации зданий. Новые объекты подключаются к старой инфраструктуре. Целые кварталы отапливаются из далекой станции. А если работать по уму, коммунальные платежи можно удешевить до 50 %", - сказал глава государства.
Согласно пресс-службе главы государства, даны также указания по строительству в новом массиве автономной тепловой станции, организации современной компании по эксплуатации и обслуживанию зданий.
🔍Источник: president.uz
Сегодня глава государства с выездом на место ознакомился со строительством многоэтажных домов в махалле "Авайхон" Мирзо-Улугбекского района Ташкента.
⚠️ Президент дал указания по расширению применения отечественных материалов, снижению себестоимости квартир, выделению их и малообеспеченным семьям.
Подчеркнута важность поддержки малоимущих семей путём продления сроков погашения кредитов и предоставления жилья в аренду.
"Жители городов недовольны качеством коммунальных услуг. Не хватает профессиональных организаций, квалифицированных кадров в сфере эксплуатации зданий. Новые объекты подключаются к старой инфраструктуре. Целые кварталы отапливаются из далекой станции. А если работать по уму, коммунальные платежи можно удешевить до 50 %", - сказал глава государства.
Согласно пресс-службе главы государства, даны также указания по строительству в новом массиве автономной тепловой станции, организации современной компании по эксплуатации и обслуживанию зданий.
🔍Источник: president.uz
🤔🥇Кто же лучший на рынке капитала Узбекистана❓
В соответствии с указом Президента РУз. от 24.04.2015г. №УП-4720 «О мерах по внедрению современных методов корпоративного управления в акционерных обществах» ежегодно в начале года проводился конкурс «Лучший на рынке капитала Узбекистана» в номинациях:
🏆 «Лучшее корпоративное управление»;
🏆 «Лучший инвестиционный посредник»;
🏆 «Лучший инвестиционный консультант».
Организатором ежегодного конкурса был уполномоченный государственный орган по регулированию рынка ценных бумаг - Центр по координации и развитию рынка ценных бумаг (предшественник Агентства по развитию рынка капитала).
Поскольку с начала 2020 года прошло уже два месяца, очень надеемся, что со стороны АРРК будет продолжен конкурс и в скором времени будут объявлены победители по итогам 2019 года.
Напомним, что в январе 2019 года победителями конкурса «Лучший на рынке капитала Узбекистана» по итогам 2018 года были объявлены:
➖АО «Kvarts» – «Лучшее корпоративное управление»;
➖ООО «Freedom Finance» – «Лучший инвестиционный посредник»;
➖ООО «Portfolio Investments» – «Лучший инвестиционный консультант».
#АРРК
В соответствии с указом Президента РУз. от 24.04.2015г. №УП-4720 «О мерах по внедрению современных методов корпоративного управления в акционерных обществах» ежегодно в начале года проводился конкурс «Лучший на рынке капитала Узбекистана» в номинациях:
🏆 «Лучшее корпоративное управление»;
🏆 «Лучший инвестиционный посредник»;
🏆 «Лучший инвестиционный консультант».
Организатором ежегодного конкурса был уполномоченный государственный орган по регулированию рынка ценных бумаг - Центр по координации и развитию рынка ценных бумаг (предшественник Агентства по развитию рынка капитала).
Поскольку с начала 2020 года прошло уже два месяца, очень надеемся, что со стороны АРРК будет продолжен конкурс и в скором времени будут объявлены победители по итогам 2019 года.
Напомним, что в январе 2019 года победителями конкурса «Лучший на рынке капитала Узбекистана» по итогам 2018 года были объявлены:
➖АО «Kvarts» – «Лучшее корпоративное управление»;
➖ООО «Freedom Finance» – «Лучший инвестиционный посредник»;
➖ООО «Portfolio Investments» – «Лучший инвестиционный консультант».
#АРРК
📶 КорпИнфо 📰
Проданы госдоли в акционерных обществах «Энерготаъмир» и «Газавтоматика» Сегодня через фондовую биржу оформлена продажа госдолей в АО «Energota’mir Maxsus ta'mirlash-ishlab chiqarish» и АО «Gazavtomatika» за 3,17 млрд. сумов и 1,51 млрд. сумов соответственно.…
Покупателем госдоли в АО «СРП Энерготаъмир» является Сырдарьинская теплоэлектростанция [АО "Sirdaryo issiqlik elektr stansiyasi", #].
🔍Источник: АУГА
Напомним, что 26 февраля фондовой биржей была зарегистрирована сделка купли-продажи 46 321 шт простых акций АО «Energota’mir Maxsus ta'mirlash-ishlab chiqarish» [ENTM]. Общая сумма сделки составила 3,17 млрд. сумов.
#АУГА
🔍Источник: АУГА
Напомним, что 26 февраля фондовой биржей была зарегистрирована сделка купли-продажи 46 321 шт простых акций АО «Energota’mir Maxsus ta'mirlash-ishlab chiqarish» [ENTM]. Общая сумма сделки составила 3,17 млрд. сумов.
#АУГА
🏛 У KDB новый состав набсовета и ревкомиссии, а также новая оргструктура
👤💼 На внеочередном общем собрании акционеров банка «KDB Bank O'zbekiston», состоявшемся 25 февраля (кворум 100%), утверждена новая организационная структура Банка и следующие составы наблюдательного совета, ревизионной комиссии Банка
👥 члены набсовета:
➖Г-н Ли Бюнг Хо – начальник Департамента по международному бизнесу Korea Development Bank, Республика Корея (KDB);
➖Г-н Янг Сеунг Веон – старший менеджер Департамента по международному бизнесу KDB;
➖Г-н Джонг Юн Чоль – руководитель Группы по глобальной сети KDB;
➖Г-н Шим Санг Су – руководитель Группы планирования управления рисками KDB;
➖Г-н Курамбаев Азамат – зампред Национального банка ВЭД (НБУ).
👥 члены ревкомиссии:
➖Г-н Ким Хонг Сук – руководитель Группы по глобальной стратегии KDB;
➖Г-н Шин Жихун – руководитель сектора Группы по глобальной сети KDB;
➖Г-н Ахмедов Бекзод – директор Департамента внутреннего аудита Туронбанка.
🔍Источник: ЕПКИ
Акционерами KDB Bank O'zbekiston являются KDB [Республика Корея] (владеет 86,32% от у/к банка), НБУ (10,31%) и Туронбанк (3,37%).
PS:
🤔Кстати, несмотря на делистинг акций банка в октябре 2018 года, во всех этих сущфактах Банк позиционирует себя в качестве листинговой компании, указывая о наличии биржевого тикера на акции Банка [KBUN]. Аналогичная информация есть и на веб-сайте Банка [см на фото].
👤💼 На внеочередном общем собрании акционеров банка «KDB Bank O'zbekiston», состоявшемся 25 февраля (кворум 100%), утверждена новая организационная структура Банка и следующие составы наблюдательного совета, ревизионной комиссии Банка
👥 члены набсовета:
➖Г-н Ли Бюнг Хо – начальник Департамента по международному бизнесу Korea Development Bank, Республика Корея (KDB);
➖Г-н Янг Сеунг Веон – старший менеджер Департамента по международному бизнесу KDB;
➖Г-н Джонг Юн Чоль – руководитель Группы по глобальной сети KDB;
➖Г-н Шим Санг Су – руководитель Группы планирования управления рисками KDB;
➖Г-н Курамбаев Азамат – зампред Национального банка ВЭД (НБУ).
👥 члены ревкомиссии:
➖Г-н Ким Хонг Сук – руководитель Группы по глобальной стратегии KDB;
➖Г-н Шин Жихун – руководитель сектора Группы по глобальной сети KDB;
➖Г-н Ахмедов Бекзод – директор Департамента внутреннего аудита Туронбанка.
🔍Источник: ЕПКИ
Акционерами KDB Bank O'zbekiston являются KDB [Республика Корея] (владеет 86,32% от у/к банка), НБУ (10,31%) и Туронбанк (3,37%).
PS:
KDB Bank O'zbekiston регулярно публикует на ЕПКИ информацию о заключённых банком крупных сделках и сделках с аффилированным лицом. Так, с начала года на ЕПКИ опубликовано 106 сущфакта о крупных сделках и 2 сущфакта о сделках с аффил. лицами. В 2019 году банком опубликовано 908 сущфактов о крупных сделках – 18 сущфактов о сделках с аффил. лицами. Примечательно, что все эти сделки являются размещением межбанковского депозита за рубежом. Так, крупная сделка о межбанковском депозите от 17.02.2020г. предусматривает, что KDB Bank O'zbekiston размещает в DBS Bank LTD (Сингапур) денежные средства в эквиваленте 190,5 млрд. сумов, а аффил. сделка от 21.01.2020г.о размещении в KDB Asia Ltd. 47,7 млрд. сумов. 🤔Кстати, несмотря на делистинг акций банка в октябре 2018 года, во всех этих сущфактах Банк позиционирует себя в качестве листинговой компании, указывая о наличии биржевого тикера на акции Банка [KBUN]. Аналогичная информация есть и на веб-сайте Банка [см на фото].
На основании 9-летнего распоряжения правительства ГАЖК передаёт государству долю в АО «Узэлектротерм» и уменьшает свой уставный капитал
Единственным акционером АО «Узбекистон темир йуллари» [ГАЖК] 26 февраля принято решение уменьшить уставный капитал ГАЖК на 8,23 млрд. сумов в связи с передачей государству доли ГАЖК в АО «Узэлектротерм» в размере 61,9% от уставного капитала АО.
Основанием для передачи доли в наманганском АО «Узэлектротерм» государству с соответствующим уменьшением уставного капитала ГАЖК является распоряжение КабМина от 09.06.2011г. №361-ф и приказ ликвидированного в январе 2019 года Госкомконкуренции от 04.02.2013г. №01 к-ПО.
После уменьшения уставный капитал ГАЖК составит 4,16 трлн. сумов.
🔍Источник: ЕПКИ
Напомним, что в январе 2017 года АО «Узэлектротерм» было включено в перечень АО, подлежащих преобразованию в другие организационно-правовые формы, утверждённый постановлением КабМина от 05.08.2016г. №252.
См суфщакты Узэлектротерм
См сущфакты ГАЖК
#ГАЖК
Единственным акционером АО «Узбекистон темир йуллари» [ГАЖК] 26 февраля принято решение уменьшить уставный капитал ГАЖК на 8,23 млрд. сумов в связи с передачей государству доли ГАЖК в АО «Узэлектротерм» в размере 61,9% от уставного капитала АО.
Основанием для передачи доли в наманганском АО «Узэлектротерм» государству с соответствующим уменьшением уставного капитала ГАЖК является распоряжение КабМина от 09.06.2011г. №361-ф и приказ ликвидированного в январе 2019 года Госкомконкуренции от 04.02.2013г. №01 к-ПО.
После уменьшения уставный капитал ГАЖК составит 4,16 трлн. сумов.
🔍Источник: ЕПКИ
Напомним, что в январе 2017 года АО «Узэлектротерм» было включено в перечень АО, подлежащих преобразованию в другие организационно-правовые формы, утверждённый постановлением КабМина от 05.08.2016г. №252.
См суфщакты Узэлектротерм
См сущфакты ГАЖК
#ГАЖК
🏛На 24 марта назначено внеочередное общее собрание акционеров Ипотекабанк, на котором планируется рассмотреть вопросы об утверждении изменений и дополнений в устав и положения об органах управления банка, а также поправок в положение о дивидендной политике банка.
Кроме того, в повестку дня внеочередного ОСА включен вопрос об утверждении новой оргструктуры Ипотекабанк [IPTB, IPTB1].
🔍Источник: ЕПКИ
Кроме того, в повестку дня внеочередного ОСА включен вопрос об утверждении новой оргструктуры Ипотекабанк [IPTB, IPTB1].
🔍Источник: ЕПКИ
Решением акционера АКБ "Asia Alliance Bank" [AABK] от 27.02.2020г. утверждены новые редакции устава, положений об органах управления и контроля банка, а также положения "О порядке действий при возникновении конфликта интересов".
🔍Источник: ЕПКИ
🔍Источник: ЕПКИ
Для покупки акций Джизак пластмасса в рамках IPO осталось 10 дней!
IPO: На начало дня, всего поступило 15 заявок на покупку 23212 шт. акций АО "Джизак пластмасса", что составляет 2,04% от общего количества выставленных на продажу акций.
🗓 Дата окончания подписки на акции [JIPL]: 13.03.2020г.
#IPO
IPO: На начало дня, всего поступило 15 заявок на покупку 23212 шт. акций АО "Джизак пластмасса", что составляет 2,04% от общего количества выставленных на продажу акций.
🗓 Дата окончания подписки на акции [JIPL]: 13.03.2020г.
#IPO
📶 КорпИнфо 📰
На основании 9-летнего распоряжения правительства ГАЖК передаёт государству долю в АО «Узэлектротерм» и уменьшает свой уставный капитал Единственным акционером АО «Узбекистон темир йуллари» [ГАЖК] 26 февраля принято решение уменьшить уставный капитал ГАЖК…
АО «Узбекистон темир йуллари» [ГАЖК] исключило АО «Узэлектротерм» из списка аффилированных лиц, в связи с передачей государству своей доли в АО «Узэлектротерм».
Аффилированными ГАЖК остаются 42 предприятия ввиду наличия в них доли ГАЖК в размере свыше 20% от уставного фонда предприятий, включая АО “Ўзтемирйўлконтейнер”, АО “Боштранслойиха”, АО “Ўзвагонтаъмир” , АО “Ўзтемирйўлйўловчи”, АО “Йўлрефтранс”, АО "Тошкент механика заводи", АО "Қўқон спирт", АО "Гранит", АО "Шарғун кўмир".
🔍Источник: ЕПКИ
#ГАЖК #Боштранслойиха #ТМЗ #Гранит #Узэлектротерм #УзЖелДорПасс
Аффилированными ГАЖК остаются 42 предприятия ввиду наличия в них доли ГАЖК в размере свыше 20% от уставного фонда предприятий, включая АО “Ўзтемирйўлконтейнер”, АО “Боштранслойиха”, АО “Ўзвагонтаъмир” , АО “Ўзтемирйўлйўловчи”, АО “Йўлрефтранс”, АО "Тошкент механика заводи", АО "Қўқон спирт", АО "Гранит", АО "Шарғун кўмир".
🔍Источник: ЕПКИ
#ГАЖК #Боштранслойиха #ТМЗ #Гранит #Узэлектротерм #УзЖелДорПасс
🤔 «Одной из проблем газовой отрасли Узбекистана является низкая внутренняя цена на газ, что стимулирует расточительное потребление газа...»
Г-н Арильд Дирсет (Норвегия) - международный консультант АБР по корпоративной трансформации: "Финансовая устойчивость АО «Узбекнефтегаз» имеет решающее значение для энергетического сектора Узбекистана. Причиной этой инициативы [реформирование АО] стало наблюдение, что её система корпоративного управления и финансового управления по историческим причинам не была готова к предстоящим вызовам, что вызвало обеспокоенность по поводу способности компании противостоять внешним экономическим рискам, которым могут быть подвергнуты экономика и развитие страны.
АБР поддержал инициативу правительства по созданию плана корпоративной трансформации для АО «Узбекнефтегаз», в результате чего рекомендации консультантов были отражены в постановлении Президента Республики Узбекистан № ПП - 4388 от 9 июля 2019 года, которое способствовало разделению трех отдельных компаний: АО «Узбекнефтегаз», АО «Узтрансгаз» и АО «Худудгазтаъминот» от ранее вертикально интегрированного АО «Узбекнефтегаз».
После создания этих компаний основной целью и следующим этапом трансформации будет их эффективная деятельность и финансовая стабильность.
В связи с вышесказанным, предлагается инициировать процесс преобразования АО «Узтрансгаз». В частности, для усиления деятельности АО «Узтрансгаз» и общего функционирования сектора природного газа в Узбекистане, считается необходимым преобразовать его в так называемого оператора системы передачи [
На вопрос, какие основные проблемы имеются в газовой отрасли Узбекистана Г-н А. Дирсет ответил:
"Одной из проблем является низкая внутренняя цена на газ, что стимулирует расточительное потребление газа и ставит под угрозу необходимые инвестиции в новые поставки газа и газотранспортную систему. Это привело к тому, что устаревшая газотранспортная инфраструктура сегодня нуждается в срочной модернизации...
Более 50% магистральных газопроводов эксплуатируется свыше 30 лет, а также более 45% газоперекачивающих агрегатов имеет моральный и физический износ свыше 100% и не позволяют проводить необходимое техническое обслуживание. Это отрицательно сказывается на обеспечении стабильного и бесперебойного поставки природного газа населению, а также экономике Узбекистана в целом, транзитных и экспортных мощностей...
В современной рыночной экономике производителю природного газа, как правило, разрешено продавать свой газ. Покупатели газа могут свободно покупать газ у самых конкурентоспособных продавцов. Для трубопроводного газа транспортные средства, связывающие продавцов и покупателей, обычно эксплуатируются независимым TSO, не имеющим коммерческой заинтересованности в транспортируемом газе, а взимающим плату только за предоставленные услуги по передаче. Такая структура рынка газа обеспечивает конкуренцию в сфере производства, импорта и поставок на благо потребителей и производителей, зависящих от газа. Большинство успешных зарубежных газотранспортных организаций (США, Европа) в настоящее время работают в соответствии с этим стандартом, и тенденция заключается в том, что все больше стран внедряют эту бизнес-модель каждый год ...
Наряду с упразднением монополий страны, также обычно создают биржи природного газа, являясь электронными площадками, на которых продавцы и покупатели могут свободно торговать газом на конкурентных условиях стандартизированным образом."
🔍 Источник: uzdaily.uz
#Узбекнефтегаз
Г-н Арильд Дирсет (Норвегия) - международный консультант АБР по корпоративной трансформации: "Финансовая устойчивость АО «Узбекнефтегаз» имеет решающее значение для энергетического сектора Узбекистана. Причиной этой инициативы [реформирование АО] стало наблюдение, что её система корпоративного управления и финансового управления по историческим причинам не была готова к предстоящим вызовам, что вызвало обеспокоенность по поводу способности компании противостоять внешним экономическим рискам, которым могут быть подвергнуты экономика и развитие страны.
АБР поддержал инициативу правительства по созданию плана корпоративной трансформации для АО «Узбекнефтегаз», в результате чего рекомендации консультантов были отражены в постановлении Президента Республики Узбекистан № ПП - 4388 от 9 июля 2019 года, которое способствовало разделению трех отдельных компаний: АО «Узбекнефтегаз», АО «Узтрансгаз» и АО «Худудгазтаъминот» от ранее вертикально интегрированного АО «Узбекнефтегаз».
После создания этих компаний основной целью и следующим этапом трансформации будет их эффективная деятельность и финансовая стабильность.
В связи с вышесказанным, предлагается инициировать процесс преобразования АО «Узтрансгаз». В частности, для усиления деятельности АО «Узтрансгаз» и общего функционирования сектора природного газа в Узбекистане, считается необходимым преобразовать его в так называемого оператора системы передачи [
transmission system operator - TSO], как единого оператора газотранспортной системы в соответствии с международными прецедентами. В этой области ведутся определенные работы."На вопрос, какие основные проблемы имеются в газовой отрасли Узбекистана Г-н А. Дирсет ответил:
"Одной из проблем является низкая внутренняя цена на газ, что стимулирует расточительное потребление газа и ставит под угрозу необходимые инвестиции в новые поставки газа и газотранспортную систему. Это привело к тому, что устаревшая газотранспортная инфраструктура сегодня нуждается в срочной модернизации...
Более 50% магистральных газопроводов эксплуатируется свыше 30 лет, а также более 45% газоперекачивающих агрегатов имеет моральный и физический износ свыше 100% и не позволяют проводить необходимое техническое обслуживание. Это отрицательно сказывается на обеспечении стабильного и бесперебойного поставки природного газа населению, а также экономике Узбекистана в целом, транзитных и экспортных мощностей...
В современной рыночной экономике производителю природного газа, как правило, разрешено продавать свой газ. Покупатели газа могут свободно покупать газ у самых конкурентоспособных продавцов. Для трубопроводного газа транспортные средства, связывающие продавцов и покупателей, обычно эксплуатируются независимым TSO, не имеющим коммерческой заинтересованности в транспортируемом газе, а взимающим плату только за предоставленные услуги по передаче. Такая структура рынка газа обеспечивает конкуренцию в сфере производства, импорта и поставок на благо потребителей и производителей, зависящих от газа. Большинство успешных зарубежных газотранспортных организаций (США, Европа) в настоящее время работают в соответствии с этим стандартом, и тенденция заключается в том, что все больше стран внедряют эту бизнес-модель каждый год ...
Наряду с упразднением монополий страны, также обычно создают биржи природного газа, являясь электронными площадками, на которых продавцы и покупатели могут свободно торговать газом на конкурентных условиях стандартизированным образом."
🔍 Источник: uzdaily.uz
#Узбекнефтегаз
Усманов Махмуд Хошимович совместно с аффилированными лицами стал владельцем 29% доли в АО «Наманганмаш»
3 марта Усманов Махмуд Хошимович (г. Наманган) купил на внебиржевой торговой площадке 65 814 шт. акций АО «Наманганмаш» [быв. Наманганский машиностроительный завод], что составляет 11,99% от уставного капитала АО.
2 сделки купли-продажи были зарегистрированы организатором внебиржевых торгов (Элсис-савдо). Общая сумма сделок составила 112,93 млн. сумов. При этом цена одной акции в сделке равна 1716 сум.
В результате Усманов Махмуд Хошимович, возглавляющий АО «Наманганмаш» с 1998 года, совместно с Усмановым Маруфом Махмудовичем и Мамадалиевой Мапрат довели свою совместную долю до 29,13% от уставного капитала АО «Наманганмаш».
🔍Источник: РФБ [
Напомним, что на годовом ОСА по итогам 2018 года, состоявшемся 12.06.2019г. (кворум 57,3%), чистая прибыли АО «Наманганмаш» в размере 1,02 млрд. сумов оставлена в распоряжении АО.
На том же собрании было принято решение выделить МСК-2 и создать совместное предприятие с долей АО в размере 51%.
3 марта Усманов Махмуд Хошимович (г. Наманган) купил на внебиржевой торговой площадке 65 814 шт. акций АО «Наманганмаш» [быв. Наманганский машиностроительный завод], что составляет 11,99% от уставного капитала АО.
2 сделки купли-продажи были зарегистрированы организатором внебиржевых торгов (Элсис-савдо). Общая сумма сделок составила 112,93 млн. сумов. При этом цена одной акции в сделке равна 1716 сум.
В результате Усманов Махмуд Хошимович, возглавляющий АО «Наманганмаш» с 1998 года, совместно с Усмановым Маруфом Махмудовичем и Мамадалиевой Мапрат довели свою совместную долю до 29,13% от уставного капитала АО «Наманганмаш».
🔍Источник: РФБ [
на фото]Напомним, что на годовом ОСА по итогам 2018 года, состоявшемся 12.06.2019г. (кворум 57,3%), чистая прибыли АО «Наманганмаш» в размере 1,02 млрд. сумов оставлена в распоряжении АО.
На том же собрании было принято решение выделить МСК-2 и создать совместное предприятие с долей АО в размере 51%.